题目内容

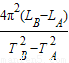
某同学利用单摆测定当地重力加速度,发现单摆静止时摆球重心在球心的正下方,他仍将从悬点到球心的距离当作摆长L,通过改变摆线的长度,测得6组L和对应的周期T,画出L-T2图线,然后在图线上选取A、B两个点.坐标如图所示,他采用恰当的数据处理方法,则计算重力加速度的表达式应为g=______B-
T2A

【答案】分析:由单摆周期公式的变形公式求出L-T2关系表达式,然后根据图象求出重力加速度,然后判断测量值与真实值间的关系.
解答:解:由单摆周期公式T=2π可知,l=T2,则k=,g=4π2k;
由图象可知,图象的斜率k=,则g=
由l=T2=kT2,l与T2成正比,k=是比例常数,由图象可知l与T2成正比,由于单摆摆长偏大还是偏小不影响图象的斜率k,因此摆长偏小不影响重力加速度的测量值,用图线法求得的重力加速度准确,该同学得到的实验结果与摆球重心就在球心处的情况相比,将相同.
故答案为:,相同.
点评:本题考查了单摆测重力加速度实验的误差分析,有一定的难度;由单摆周期公式求出l与T2的关系式,是正确解题的关键.
练习册系列答案
相关题目
(1)下列有关高中物理实验的描述中,正确的是
ABC
ABC

A、在用打点计时器做“研究匀变速直线运动”的实验中,由纸带上的一系列点迹取计数点,可求出任意两个计数点之间的平均速度
B、在“验证力的平行四边形定则”的实验中,拉橡皮筋的细绳要稍长,并且实验时要使弹簧测力计与木板平面平行,同时保证弹簧的轴线与细绳在同一直线上
C、在“用单摆测定重力加速度”的实验中,如果摆长的测量及秒表的读数均无误,而测得的g值明显偏小,其原因可能是将全振动的次数n误计为n-1
D、在“验证机械能守恒定律”的实验中,必须要用天平浏出下落物体的质量
(2)某同学利用单摆测定当地的重力加速度,发现单摆静止时摆球重心在球心的正下方,他仍将从悬点到球心的距离当做摆长L,通过改变摆线的长度,测得6组L和对应的周期T.该同学采用了四种不同的数据处理方法:
方法l:从测定的6组数据中任意选取1组,用公式g=
4π2L
T2
求出g作为测量值.
方法2:分别求出6个L值的平均值
.
L
和6个T值的平均值
.
T
,用公式g=
4π2
.
L
.
T
2
求上出g作为测量值.
方法3:分别用6组L、T的对应值,用公式g=
4π2L
T2
求出6个对应的g值,再求这6个g的平均值作为测量值.
方法4:在坐标纸上作出T2-L图象,从图象中计算出图线的斜率k,根据g=
4π2
k
求出g作为测量值.
对以上四种方法有下列评价,正确的是
AB
AB

A.方法2是一种错误的方法
B.方法4得到的结果最准确,与摆球重心就在球心处的情况相同
C.方法4得到的结果较准确,与摆球重心就在球心处的情况相同相比较偏小
D.方法3得到的结果较准确,与摆球重心就在球心处的情况相同相比较偏大.

违法和不良信息举报电话:027-86699610 举报邮箱:58377363@163.com

精英家教网