题目内容

A和B为一列横波传播方向上相距6m的两个质点,图中甲和乙分别为A和B的振动图象.如果此波的波长大于3m而小于6m,求波的传播速度的大小.

答案:
解析:

   此波的传播速度为10m/s.

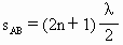
  解题过程:从分析中知,

=6m(n=0,1,2…),

  可得λ=m(n=0,1,2…).

  题目要求3m<λ<6m,可推出:

  当n=0时,λ=12m;当n=1时,λ=4m;当n=3时,λ=m.

  可以确定符合题设条件的为λ=4m.

  由振动图象(甲)或(乙)可知,周期T=0.4s.


提示:

    由A和B两个质点的振动图象可以看出,两个振动质点A和B是反相的,其间距为半波长的奇数倍,可以列出A和B两点的间距与波长关系通式,从而推导出波长的通式.根据题目的要求,可确定此波的波长的数值,从振动图象中可看出质点振动周期,即为此波的周期.根据波长、周期和波速间关系公式v=λ/T,可求出此题结果.


练习册系列答案
相关题目

违法和不良信息举报电话:027-86699610 举报邮箱:58377363@163.com

精英家教网