ÌâÄ¿ÄÚÈÝ
ÈçͼËùʾΪ¶ùͯÓéÀֵϬÌÝʾÒâͼ£¬ÆäÖÐABÎªÐ±Ãæ»¬²Û£¬Óëˮƽ·½Ïò¼Ð½ÇΪ37£¬BCΪˮƽ»¬²Û£¬Óë°ë¾¶Îª0.2mµÄ1/4Ô²»¡CDÏàÇУ¬EDΪµØÃ森ÒÑ֪ͨ³£¶ùͯÔÚ»¬²ÛÉÏ»¬¶¯Ê±µÄ¶¯Ä¦²ÁϵÊýÊÇ0.5£¬AµãÀëµØÃæµÄÊúÖ±¸ß¶ÈAEΪ2m£¬ÊÔÇ󣺣¨gÈ¡10m/s2£©£¨1£©¶ùͯÔÚÐ±Ãæ»¬²ÛÉÏÏ»¬Ê±µÄ¼ÓËÙ¶È´óС£®
£¨2£©¶ùͯÓÉA´¦¾²Ö¹Æð»¬µ½B´¦Ê±µÄËÙ¶È´óС£®
£¨3£©ÎªÁ˶ùͯÔÚÓéÀÖʱ²»»á´ÓC´¦Æ½Å×Éä³ö£¬Ë®Æ½»¬²ÛBC³¤ÖÁÉÙΪ¶àÉÙ£¿
¡¾´ð°¸¡¿·ÖÎö£º£¨1£©¶Ô¶ùͯ½øÐÐÊÜÁ¦·ÖÎö£¬ÔËÓÃÅ£¶ÙµÚ¶þ¶¨ÂÉÇó³ö¶ùͯÔÚÐ±Ãæ»¬²ÛÉÏÏ»¬Ê±µÄ¼ÓËÙ¶È´óС£®
£¨2£©¸ù¾Ý¶¯Äܶ¨ÀíÇó³ö¶ùͯÓÉA´¦¾²Ö¹Æð»¬µ½B´¦Ê±µÄËÙ¶È´óС£®
£¨3£©¸ù¾ÝÅ£¶ÙµÚ¶þ¶¨ÂÉÇó³ö¶ùͯÔÚC´¦²»ÊÜÖ§³ÖÁ¦Ê±µÄËÙ¶È£¬½áºÏ¶¯Äܶ¨ÀíÇó³öˮƽ»¬²ÛµÄ×îС³¤¶È£®
½â´ð£º½â£º£¨1£©¶ùͯÔÚÐ±Ãæ»¬²ÛÉÏÏ»¬Ê±µÄ¼ÓËÙ¶È
=gsin37°-¦Ìgcos37°=£¨10×0.6-0.5×10×0.8£©m/s2=2m/s2
£¨2£©AF=AE-R=2m-0.2m=1.8m
¶ùͯ´ÓA´¦µ½B´¦£¬Óɶ¯Äܶ¨Àí¿ÉµÃ£º
¡à
=
=
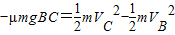
£¨3£©Èô¶ùͯǡºÃ´ÓC´¦Æ½Å׳ö£¬Ôò¶ùͯÔÚC´¦Ê±²»ÊܵØÃæµÄµ¯Á¦×÷Óã®
¼´
¼´
¶ùͯ´ÓBµ½C´¦£¬Óɶ¯Äܶ¨Àí¿ÉµÃ£º
¡à
ËùÒÔBC³¤ÖÁÉÙΪ1m£®
´ð£º£¨1£©¶ùͯÔÚÐ±Ãæ»¬²ÛÉÏÏ»¬Ê±µÄ¼ÓËÙ¶È´óСΪ2m/s2£®
£¨2£©¶ùͯÓÉA´¦¾²Ö¹Æð»¬µ½B´¦Ê±µÄËÙ¶È´óСΪ
m/s£®
£¨3£©Ë®Æ½»¬²ÛBC³¤ÖÁÉÙΪ1m£®
µãÆÀ£º±¾Ìâ×ÛºÏÔËÓÃÁËÅ£¶ÙµÚ¶þ¶¨ÂɺͶ¯Äܶ¨Àí£¬ÔËÓö¯Äܶ¨Àí½âÌâʱѡÔñºÃÑо¿µÄ¹ý³Ì£¬ÁÐʽÇó½â£¬ÓÐʱ¹ý³ÌÑ¡µÃÊʵ±£¬»áÆðµ½Ê°빦±¶µÄЧ¹û£®
£¨2£©¸ù¾Ý¶¯Äܶ¨ÀíÇó³ö¶ùͯÓÉA´¦¾²Ö¹Æð»¬µ½B´¦Ê±µÄËÙ¶È´óС£®
£¨3£©¸ù¾ÝÅ£¶ÙµÚ¶þ¶¨ÂÉÇó³ö¶ùͯÔÚC´¦²»ÊÜÖ§³ÖÁ¦Ê±µÄËÙ¶È£¬½áºÏ¶¯Äܶ¨ÀíÇó³öˮƽ»¬²ÛµÄ×îС³¤¶È£®
½â´ð£º½â£º£¨1£©¶ùͯÔÚÐ±Ãæ»¬²ÛÉÏÏ»¬Ê±µÄ¼ÓËÙ¶È
£¨2£©AF=AE-R=2m-0.2m=1.8m
¶ùͯ´ÓA´¦µ½B´¦£¬Óɶ¯Äܶ¨Àí¿ÉµÃ£º
¡à
£¨3£©Èô¶ùͯǡºÃ´ÓC´¦Æ½Å׳ö£¬Ôò¶ùͯÔÚC´¦Ê±²»ÊܵØÃæµÄµ¯Á¦×÷Óã®
¼´
¶ùͯ´ÓBµ½C´¦£¬Óɶ¯Äܶ¨Àí¿ÉµÃ£º
¡à
ËùÒÔBC³¤ÖÁÉÙΪ1m£®
´ð£º£¨1£©¶ùͯÔÚÐ±Ãæ»¬²ÛÉÏÏ»¬Ê±µÄ¼ÓËÙ¶È´óСΪ2m/s2£®
£¨2£©¶ùͯÓÉA´¦¾²Ö¹Æð»¬µ½B´¦Ê±µÄËÙ¶È´óСΪ
£¨3£©Ë®Æ½»¬²ÛBC³¤ÖÁÉÙΪ1m£®
µãÆÀ£º±¾Ìâ×ÛºÏÔËÓÃÁËÅ£¶ÙµÚ¶þ¶¨ÂɺͶ¯Äܶ¨Àí£¬ÔËÓö¯Äܶ¨Àí½âÌâʱѡÔñºÃÑо¿µÄ¹ý³Ì£¬ÁÐʽÇó½â£¬ÓÐʱ¹ý³ÌÑ¡µÃÊʵ±£¬»áÆðµ½Ê°빦±¶µÄЧ¹û£®
Á·Ï°²áϵÁдð°¸
Ïà¹ØÌâÄ¿