题目内容

在静电场中,将一电子由a点移到b点,电场力做功5eV,则下列结论错误的是

[  ]

A.电场强度的方向一定是由b到a

B.a、b两点间的电压是5V

C.电子的电势能减少了5eV

D.因零电势点未确定,故不能确定a、b两点的电势

答案:AB
解析:

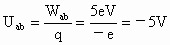
解析:由ab两点间的电势差为-5V,即电压为-5V,但电场强度方向不一定由ba,所以AB错;电场力对电荷做功5eV,其电势能一定减少了5eV,而零电势点未确定,我们只能确定ab两点间的电势差,无法确定ab两点的电势,所以,CD对,但本题应选AB


练习册系列答案
相关题目

违法和不良信息举报电话:027-86699610 举报邮箱:58377363@163.com

精英家教网