题目内容
如图所示,斜面上有a、b、c、d 四个点,ab=bc=cd,从a点以初动能EK0水平抛出一个小球,它落在斜面上的b点,速度方向与斜面之间的夹角为θ.若小球从 a 点以初动能2EK0水平抛出,不计空气阻力,则下列判断正确的是( )A.小球将落在c点
B.小球将落在c下方
C.小球落在斜面的速度方向与斜面的夹角大于θ
D.小球落在斜面的速度方向与斜面的夹角等于θ
【答案】分析:A、小球落在斜面上,竖直方向上的位移与水平方向位移的比值一定,即
,t=
,运动的时间与初速度有关,根据竖直方向上的位移公式
,可得出竖直位移与初速度的关系,从而知道小球的落点.
C、判断速度方向与水平方向的夹角变化,去判断θ的变化.
解答:解:A、设斜面的倾角为α,小球落在斜面上,竖直方向上的位移与水平方向位移的比值
,t=
,在竖直方向上的位移
,当初动能变为原来的2倍,根据
,知初速度变为原来的
倍,则y变为原来的2倍,知小球落在c点.故A正确,B错误.
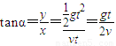
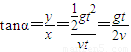
C、设小球落在斜面上速度与水平方向的夹角为β,则
,又t=
,所以tanβ=2tanα,α不变,则β不变,所以速度方向与斜面的夹角也不变.故C错误,D正确.
故选AD.
点评:物体在斜面上做平抛运动落在斜面上,竖直方向的位移与水平方向上的位移比值是一定值.以及知道在任一时刻速度与水平方向夹角的正切值是位移与水平方向夹角正切值的2倍.
C、判断速度方向与水平方向的夹角变化,去判断θ的变化.
解答:解:A、设斜面的倾角为α,小球落在斜面上,竖直方向上的位移与水平方向位移的比值
C、设小球落在斜面上速度与水平方向的夹角为β,则
故选AD.
点评:物体在斜面上做平抛运动落在斜面上,竖直方向的位移与水平方向上的位移比值是一定值.以及知道在任一时刻速度与水平方向夹角的正切值是位移与水平方向夹角正切值的2倍.
练习册系列答案
相关题目
| A、小球可能落在d点与c点之间 | B、小球一定落在c点 | C、小球落在斜面的速度方向与斜面的夹角一定增大 | D、小球落在斜面的速度方向与斜面的夹角一定减小 |