题目内容
在光滑水平面上建立直角坐标系xOy,大小不计,质量为1kg的物体静止在坐标原点O处.现在物体受到大小F1=1N,方向沿x轴正方向的力作用,1s后变成大小F2=1N,方向沿y轴正方向的力作用,又经过1s后再变成水平力F3的作用,F3作用1s后物体静止,求:(1)3s末物体的位置坐标.
(2)F3的大小和方向.
【答案】分析:(1)根据牛顿第二定律分别求出x方向和y方向上的加速度,运用运动学公式求出x方向上的位移和y方向上的位移.
(2)求出2s末的速度大小和方向,物体在第3s内在F3作用1s后物体静止,根据运动学公式求出加速度,从而根据牛顿第二定律求出F3的大小.
解答:解:(1)
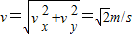
2s末:vx=vy=axt=1m/s
方向与x轴成45角.
将第3s内的运动分解为x方向和y方向,两个方向分别做匀减速直线运动到0.
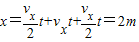
则水平方向上的位移:
竖直方向上的位移:
3s末物体的位置坐标为(2m,1m)
(2)
方向与x轴负方向成45角.
答:(1)3s末物体的位置坐标为(2m,1m)
(2)F3的大小为
N,方向与x轴负方向成45角.
点评:解决本题的关键将物体的运动分解为x方向和y方向,根据牛顿第二定律求出加速度,运用运动学公式进行求解.
(2)求出2s末的速度大小和方向,物体在第3s内在F3作用1s后物体静止,根据运动学公式求出加速度,从而根据牛顿第二定律求出F3的大小.
解答:解:(1)
2s末:vx=vy=axt=1m/s
将第3s内的运动分解为x方向和y方向,两个方向分别做匀减速直线运动到0.
则水平方向上的位移:
竖直方向上的位移:
3s末物体的位置坐标为(2m,1m)
(2)
答:(1)3s末物体的位置坐标为(2m,1m)
(2)F3的大小为
点评:解决本题的关键将物体的运动分解为x方向和y方向,根据牛顿第二定律求出加速度,运用运动学公式进行求解.
练习册系列答案
相关题目