题目内容
从某高度处以v=15m/s的初速度水平抛出一物体,经时间t=2s落地.g取10m/s2求:(1)物体抛出时的高度y和物体落地点与抛出点间的距离x
(2)物体落地时速度的大小v.
【答案】分析:解决平抛运动的方法是把平抛运动分解到水平方向和竖直方向去研究,水平方向做匀速直线运动,竖直方向做自由落体运动,两个方向上运动的时间相同.高度可根据自由落体运动位移时间公式求出,水平距离等于初速度乘以时间.末速度为水平速度和竖直速度的矢量和.
解答:解:(1)平抛运动竖直方向做自由落体运动,根据h=
得:y=h=20m
平抛运动水平方向做匀速直线运动,根据x=vt得:x=30m;
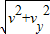
(2)落地时竖直方向速度vy=gt=20m/s,
v=
=25m/s.
答:(1)物体抛出时的高度为20m,物体落地点与抛出点间的距离为30m;(2)物体落地时速度的大小为25m/s.
点评:研究平抛运动的方法是把平抛运动分解到水平方向和竖直方向去研究,水平方向做匀速直线运动,竖直方向做自由落体运动,两个方向上运动的时间相同,本题难度不大.
解答:解:(1)平抛运动竖直方向做自由落体运动,根据h=
平抛运动水平方向做匀速直线运动,根据x=vt得:x=30m;
(2)落地时竖直方向速度vy=gt=20m/s,
v=
答:(1)物体抛出时的高度为20m,物体落地点与抛出点间的距离为30m;(2)物体落地时速度的大小为25m/s.
点评:研究平抛运动的方法是把平抛运动分解到水平方向和竖直方向去研究,水平方向做匀速直线运动,竖直方向做自由落体运动,两个方向上运动的时间相同,本题难度不大.
练习册系列答案
相关题目