题目内容

已知镭的原子序数是88,原子核质量数是226.试问:

(1)镭核中有几个质子?几个中子?

(2)镭核所带电荷量是多少?

(3)若镭原子呈现中性,它核外有几个电子?

(4)是镭的一种同位素,让以相同速度垂直射入磁感应强度为B的匀强磁场中,它们运动的轨迹半径之比是多少?

答案:
解析:

  答案:(1)88 138

  (2)1.41×10-17 C

  (3)88

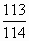
  (4)113∶114

  解析:因为原子序数与核内质子数、核电荷数、中性原子的核外电子数都是相等的.原子核的质量数等于核内质子数与中子数之和.

  由此可得:

  (1)镭核中的质子数等于其原子序数,故质子数为88,中子数N等于原子核的质量数A与质子数之差,即N=A-Z=226-88=138.

  (2)镭核所带电荷量

  Q=Ze=88×1.6×10-19 C=1.41×10-17 C.

  (3)核外电子数等于核电荷数,故核外电子数为88.

  (4)带电粒子在匀强磁场中做匀速圆周运动的向心力为洛伦兹力,故有

  Bqv=m

  两种同位素具有相同的核电荷数,但质量数不同,故


练习册系列答案
相关题目

违法和不良信息举报电话:027-86699610 举报邮箱:58377363@163.com

精英家教网