题目内容

如图所示,为一从儿童玩具中抽象出来的物理模型.轻杆AB可绕O点在竖直面内自由转动,在AB两端各固定一个质量为m的小球,OA和OB的长度分别为2a和a.开始时杆AB静止在水平位置,求:释放后,AB转到竖直位置时,A、B两端小球的速度分别是多少?(取)

答案:略
解析:

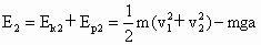
  选取轴O所在水平面为零势能参考平面,则有,所以有①.在末状态时,设A球速度为B球速度为,则有.所以有②.又因为在竖直位置,A球和B球均绕D做圆周运动,二者的角速度相同,即,所以③.由机械能守恒定律可得,④.联立③④式方程求解得

  对于系统机械能守恒,要把握好组成系统的各物体的速度关系.在本题中,由于A球和B球用同一轻杆相连,因此二者的角速度相同,从而得出A球和B球的速度关系.


练习册系列答案
相关题目

违法和不良信息举报电话:027-86699610 举报邮箱:58377363@163.com

精英家教网