题目内容
A.质点的初速度为3m/s
B.质点所受的合外力为3N
C.质点初速度的方向与合外力方向垂直
D.2s末质点速度大小为6m/s
【答案】分析:通过图象可知,在x轴方向做匀加速直线运动,在y轴方向做匀速直线运动.根据平行四边形定则对速度、力进行合成.
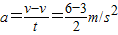
解答:解:A、由x方向的速度图象可知,在x方向的加速度为
=1.5 m/s2,受力Fx═ma=2×1.5N=3 N,
由y方向的位移图象可知在y方向做匀速直线运动,速度为vy=4 m/s,受力Fy=0.因此质点的初速度为5 m/s,受到的合外力为3 N,故A错误、B正确.
C、合外力方向在x轴方向上,所以质点初速度方向与合外力方向不垂直.故C错误.
D、2 s末质点速度应该为v=
m/s=2
m/s,D选项错误.
故选B.
点评:解决本题的关键掌握运用平行四边形定则进行运动的合成与分解.
解答:解:A、由x方向的速度图象可知,在x方向的加速度为
由y方向的位移图象可知在y方向做匀速直线运动,速度为vy=4 m/s,受力Fy=0.因此质点的初速度为5 m/s,受到的合外力为3 N,故A错误、B正确.
C、合外力方向在x轴方向上,所以质点初速度方向与合外力方向不垂直.故C错误.
D、2 s末质点速度应该为v=
故选B.
点评:解决本题的关键掌握运用平行四边形定则进行运动的合成与分解.
练习册系列答案
相关题目