题目内容

如图所示,从足够长的斜面上A点,以水平速度v抛出一个小球,不计空气阻力,它落到斜面上所用的时间为t1;若将此球改用2v水平速度抛出,落到斜面上所用时间为t2,则t1:t2为( )
A.1:1
B.1:2
C.1:3
D.1:4
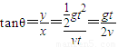
【答案】分析:小球做平抛运动落在斜面上,竖直方向上的位移和水平方向上的位移的比值是定值,等于斜面倾角的正切值.根据该关系求出运动的时间和什么因素有关,从而确定时间比.
解答:解:斜面倾角的正切值,则运动的时间,知运动的时间与平抛运动的初速度有关,初速度变为原来的2倍,则运行时间变为原来的2倍.所以时间比为1:2.故B正确,A、C、D错误.
故选B.
点评:解决本题的关键知道球做平抛运动落在斜面上,竖直方向上的位移和水平方向上的位移的比值是定值,以及熟练掌握平抛运动的位移公式.
练习册系列答案
相关题目

违法和不良信息举报电话:027-86699610 举报邮箱:58377363@163.com

精英家教网