题目内容
如图所示,MN、PQ为水平放置的平行导轨,通电导体棒ab垂直放置在导轨上,已知导体棒的质量m=1kg,长l=2.0m,通过的电流I=5.0A,方向如图所示,导体棒和导轨间的动摩擦因数
。若使导体棒水平向右匀速运动,要求轨道内所加与导体棒ab垂直的匀强磁场最小,则所加磁场的方向与轨道平面的夹角是
![]()
A.30° B.45° C.60° D.90°
【答案】
C
【解析】
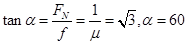
试题分析:导体棒受到四个力的作用,如图1所示,虽然支持力和滑动摩擦力的合力大小随着磁场力的变化而变化,但它们的合力的方向始终不变,所以当磁场力与支持力和滑动摩擦力的合力垂直时,磁场力最小,既匀强磁场最小,由
,所以
°,由于F与支持力和滑动摩擦力的合力垂直,所以如图2所示,所加磁场的方向与轨道平面的夹角是60°,C选项正确。
1
2
考点:受力分析 物体的平衡,极值的条件
练习册系列答案
相关题目
| π |
| 2 |
A、在t=1s时刻电流表的示数为
| ||||
| B、导体棒两端的最大电压为1V | ||||
| C、单位时间内电阻R上产生的焦耳热为0.25J | ||||
| D、从t=0至t=3s的时间内水平外力所做的功为0.75J |