题目内容
探测器绕月球做匀速圆周运动,变轨后在周期较小的轨道上仍做匀速圆周运动,则变轨后与变轨前相比( )A.轨道半径变小
B.向心加速度变小
C.线速度变小
D.角速度变小
【答案】分析:根据万有引力提供向心力列式求解即可得到线速度、角速度、周期、向心加速度与轨道半径的关系;根据周期变小,先得到轨道半径的变化,再得出其它量的变化.
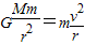
解答:解:由于
,所以
,T变小,r变小,A正确.
又
,
,r变小,an增大,B错误.
由
,
,r变小,v增大,C错误.
由
,
,r变小,ω增大,D错误
故选A.
点评:人造卫星的线速度、角速度、周期、向心加速度只与轨道半径有关,与卫星的质量无关!
解答:解:由于
又
由
由
故选A.
点评:人造卫星的线速度、角速度、周期、向心加速度只与轨道半径有关,与卫星的质量无关!
练习册系列答案
相关题目