ÌâÄ¿ÄÚÈÝ
ÈçͼËùʾ£¬ÔÚxÖáÉÏ·½´æÔÚ×Å´¹Ö±ÓÚÖ½ÃæÏòÀï¡¢´Å¸ÐӦǿ¶ÈΪBµÄÔÈÇ¿´Å³¡£®Ò»¸ö²»¼ÆÖØÁ¦µÄ´øµçÁ£×Ó´Ó×ø±êÔµãO´¦ÒÔËÙ¶Èv½øÈë´Å³¡£¬Á£×Ó½øÈë´Å³¡Ê±µÄËÙ¶È·½Ïò´¹Ö±Óڴų¡ÇÒÓëxÖáÕý·½Ïò³É120°½Ç£¬ÈôÁ£×Ó´ÓxÖáÉϵÄPµãÉä³ö´Å³¡£¬ÒÑÖªpµãÓëOµãµÄ¾àÀëΪa£¬Ôò¸ÃÁ£×ӵıȺɺÍËù´øµçºÉµÄÕý¸ºÊÇ£¨ £©A£®
B£®
C£®
D£®
¡¾´ð°¸¡¿·ÖÎö£º¸ù¾Ý´øµçÁ£×ÓµÄÔ˶¯µÄÇé¿ö£¬»³öÁ£×ÓµÄÔ˶¯µÄ¹ì¼££¬ÔÙ¸ù¾ÝÁ£×ÓÔ˶¯¹ì¼£µÄ¼¸ºÎ¹ØÏµºÍ°ë¾¶µÄ¹«Ê½¿ÉÒÔÇóµÃ¸ÃÁ£×ӵıȺɣ®
½â´ð£º½â£ºÓÉͼÒâ¿ÉÖªÁ£×ÓÑØË³Ê±Õë·½ÏòÔ˶¯£¬¸ù¾Ý×óÊÖ¶¨Ôò¿ÉµÃÁ£×Ó´ø¸ºµç
Á£×ÓµÄÔ˶¯¹ì¼£ÈçͼÖÐÐéÏߣ¬ºìÉ«Ïß¶ÎΪԲµÄ°ë¾¶£¬ÓÉÒÑÖªµÃ½øÈë´Å³¡Ê±£¬°ë¾¶ÓëxÖáÕý·½ÏòµÄ¼Ð½ÇΪ30°£¬ËùÒÔÓÐ
cos30
½âµÃ£ºr=
ÂåÂ××ÈÁ¦ÌṩÏòÐÄÁ¦£¬ÔòÓÐ
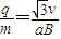
Bqv=m
½âµÃ£º
¹ÊÑ¡C
µãÆÀ£º±¾Ì⿼²é´øµçÁ£×ÓÔÚÔÈÇ¿´Å³¡ÖеÄÔ˶¯£¬ÒªÕÆÎÕס°ë¾¶¹«Ê½¡¢ÖÜÆÚ¹«Ê½£¬»³öÁ£×ÓµÄÔ˶¯¹ì¼£ºó£¬¼¸ºÎ¹ØÏµ¾Í±È½ÏÃ÷ÏÔÁË£®
½â´ð£º½â£ºÓÉͼÒâ¿ÉÖªÁ£×ÓÑØË³Ê±Õë·½ÏòÔ˶¯£¬¸ù¾Ý×óÊÖ¶¨Ôò¿ÉµÃÁ£×Ó´ø¸ºµç
Á£×ÓµÄÔ˶¯¹ì¼£ÈçͼÖÐÐéÏߣ¬ºìÉ«Ïß¶ÎΪԲµÄ°ë¾¶£¬ÓÉÒÑÖªµÃ½øÈë´Å³¡Ê±£¬°ë¾¶ÓëxÖáÕý·½ÏòµÄ¼Ð½ÇΪ30°£¬ËùÒÔÓÐ
cos30
½âµÃ£ºr=
ÂåÂ××ÈÁ¦ÌṩÏòÐÄÁ¦£¬ÔòÓÐ
Bqv=m
½âµÃ£º
¹ÊÑ¡C
µãÆÀ£º±¾Ì⿼²é´øµçÁ£×ÓÔÚÔÈÇ¿´Å³¡ÖеÄÔ˶¯£¬ÒªÕÆÎÕס°ë¾¶¹«Ê½¡¢ÖÜÆÚ¹«Ê½£¬»³öÁ£×ÓµÄÔ˶¯¹ì¼£ºó£¬¼¸ºÎ¹ØÏµ¾Í±È½ÏÃ÷ÏÔÁË£®
Á·Ï°²áϵÁдð°¸
Ïà¹ØÌâÄ¿