题目内容

电动机通过一绳吊起一质量为8kg的物体,绳的拉力不能超过120N,电动机的功率不能超过1200W,要将此物体由静止起用最快的方式将物体吊高90m(已知此物体在被吊高接近90m时已开始以最大速度匀速上升)所需时间为多少?

答案:7.75s#7.75秒
解析:

因为牵引力F最大值,所以上升过程要以额定功率上升,最小速度应为,故不可能从静止开始以额定上升.要使重物上升90m时间最短,则必须开始以最大拉力匀加速上升,加速度

设匀加速上升时达到额定功率

则据P=F·v得:,所以

,所以

匀加速上升的高度

设最后以额定功率上升

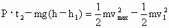
由动能定理得

      ①

而最终速度 ②

将各数据代入①得

所以共需时间


练习册系列答案
相关题目

违法和不良信息举报电话:027-86699610 举报邮箱:58377363@163.com

精英家教网