题目内容

如图所示,M、N为水平放置的两平行金属板,相距为d,两极板间匀强磁场的磁感应强度为B,方向垂直纸面向里,电源内阻为r,滑动变阻器a、b间电阻为R0,一个带电量为-q,质量为m的带电粒子(不计重力)从左端两板中央以速度v0沿水平方向射入磁场.当K断开时,带电粒子恰好沿着1/4圆弧垂直打在金属板上.

(1)K闭合后,若滑动变阻器滑动触头c移到中点处,带电粒仍以速度v0射入,恰好做匀速直线运动,电源电动势E是多大?

(2)K闭合一段时间后,再断开K,带电粒子恰好沿金属板N的右边缘飞出,已知极板的长度为L,两金属板的放电时间极短,则带电粒子在两金属板间的运动时间是多少?

答案:
解析:

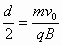
  (1)K断开时,两极板间只有磁场,粒子做匀速圆周运动,且圆半径为两极板间距离的一半,则有:

  K闭合后,两极板间为正交电磁场,粒子做匀速直线运动,应用

  又

  由串、并联电路中电压的分配规律,两金属板间的电压:

  联立以上各式得:

  (2)K闭合后,带电粒子做匀速直线运动,断开K后,带电粒子做匀速圆周运动,设匀速直线运动的时间为t1,匀速圆周运动的时间为t2,则:

  

  解⑤⑥式得


练习册系列答案
相关题目
(选做题)(请从A、B和C三小题中选定两小题作答,并在答题卡相应的答题区域内作答,如都作答则按A、B两小题评分)
A.(选修模块3-3)
如图所示,某种自动洗衣机进水时,洗衣机缸内水位升高,与洗衣缸相连的细管中会封闭一定质量的空气,通过压力传感器感知管中的空气压力,从而控制进水量.
(1)当洗衣缸内水位缓慢升高时,设细管内空气温度不变,
则被封闭的空气
AD
AD

A.分子间的引力和斥力都增大
B.分子的热运动加剧
C.分子的平均动能增大
D.体积变小,压强变大
(2)若密闭的空气可视为理想气体,在上述(1)中空气体积变化的过程中,外界对空气做了
0.6J的功,则空气
放出
放出
(选填“吸收”或“放出”)了
0.6
0.6
J的热量;当洗完衣服缸内
水位迅速降低时,则空气的内能
减小
减小
(选填“增加”或“减小”).
(3)若密闭的空气体积V=1L,密度ρ=1.29kg/m3,平均摩尔质量M=0.029kg/mol,阿伏加德罗常数NA=6.02×1023mol-1,试估算该气体分子的总个数(结果保留一位有效数字).
B.(选修模块3-4)
(1)下列说法正确的是
BC
BC

A.光的偏振现象说明光是纵波
B.全息照相利用了激光相干性好的特性
C.光导纤维传播光信号利用了光的全反射原理
D.光的双缝干涉实验中,若仅将入射光从红光改为紫光,则相邻亮条纹间距一定变大
(2)如图1所示是一列沿x轴正方向传播的简谐横波在t=0时刻的波形图,波的传播速度v=2m/s,试回答下列问题:
①x=4m处质点的振动函数表达式y=
-5sinπt
-5sinπt
cm;
②x=5m处质点在0~4.5s内通过的路程s=
45
45
cm.
(3)如图2所示,直角三角形ABC为一三棱镜的横截面,
∠A=30°.一束单色光从空气射向BC上的E点,并
偏折到AB上的F点,光线EF平行于底边AC.已
知入射方向与BC的夹角为θ=30°.试通过计算判断光在F点能否发生全反射.
C.(选修模块3-5)
(1)如图所示,小车与木箱紧挨着静放在光滑的水平冰面上,现有一男孩站在小车上用力向右迅速推出木箱,关于上述过程,下列说法中正确的是
C
C

A.男孩和木箱组成的系统动量守恒
B.小车与木箱组成的系统动量守恒
C.男孩、小车与木箱三者组成的系统动量守恒
D.木箱的动量增量与男孩、小车的总动量增量相同
(2)若氢原子的基态能量为E(E<0 ),各个定态的能量值为En=E/n2(n=1,2,3…),则为使一处于基态的氢原子核外电子脱离原子核的束缚,所需的最小能量为
-E
-E
;若有一群处于n=2能级的氢原子,发生跃迁时释放的光子照射某金属能产生光电效应现象,则该金属的逸出功至多为
-
3
4
E
-
3
4
E
(结果均用字母表示).
(3)在某些恒星内,3个α粒子可以结合成一个612C核,已知612C核的质量为1.99502×10-26kg,α粒子的质量为6.64672×10-27kg,真空中的光速c=3×108m/s,计算这个反应中所释放的核能(结果保留一位有效数字).

(1)用密封性能良好的活塞把一定质量的理想气体封闭在导热性能良好的汽缸中,汽缸的内壁光滑.现将汽缸缓慢地由水平放置(如图甲所示)变成竖直放置(如图乙所示).在此过程中如果环境保持恒温,下列说法正确的是(     )

A.气体分子的平均速率不变
B.气体分子的平均动能变大
C.气缸内壁单位面积上受到气体分子撞击的平均作用力不变
D.气缸内气体的分子数密度变大
(2)一定质量理想气体的p-V图象如图所示,其中ab为等容过程,bc为等压过程,ca为等温过程,已知气体在状态a时的温度Ta=600K,在状态b时的体积Vb=11.2L,则:气体在状态c时的体积Vc=____L;气体由状态b到状态c过程从外界吸收的热量Q与对外做功W的大小关系为Q____W.(填“大于”、“小于”、“等于”)

(3)水的密度ρ=1.0×103kg/m3,水的摩尔质量M=1.8×10?2kg/mol,阿伏伽德罗常数NA=6.02×1023mol?1,求:1cm3的水中有多少个水分子?(结果保留一位有效数字.)
B.(选修模块3-4)(12分)
(1)下列说法中正确的是_________.
A.水面上的油膜在阳光照射下会呈现彩色,这是由光的衍射造成的
B.根据麦克斯韦的电磁场理论可知,变化的电场周围一定可以产生变化的磁场
C.狭义相对论认为:光在真空中的传播速度都是一个常数,不随光源和观察者所在参考系的相对运动而改变.
D.在“探究单摆周期与摆长的关系”的实验中,测量单摆周期应该从小球经过平衡位置处开始计时,以减小实验误差
(2)如图所示,一个半径为R的1/4透明球体放置在水平面上,一束蓝光从A点沿水平方向射入球体后经B点射出,最后射到水平面上的C点.已知OA,该球体对蓝光的折射率为.则它从球面射出时的出射角β=___________;若换用一束紫光同样从A点射向该球体,则它从球体射出后落到水平面上形成的光点与C点相比,位置__________(填“偏左”、“偏右”或“不变”).

(3)一列简谐横波沿x轴正方向传播,周期为T=2s,t=0时刻的波形如图所示.此刻,波刚好传到x=6m处,求:质点a平衡位置的坐标x=10m处的质点,经多长时间第一次经过平衡位置向y轴负方向运动?

C.(选修模块3-5)(12分)
(1)下列说法中正确的是(      )
A.比结合能越小,原子核越稳定
B.一群氢原子从n=4的激发态跃迁到基态时,有可能辐射出6种不同频率的光子
C.在光电效应实验中,光电子的最大初动能与入射光强无关,只随入射光频率的增大而增大
D.随着温度的升高,黑体辐射强度的极大值向波长较长方向移动
(2)发生衰变有多种可能性.其中的一种可能是,先衰变成,再经一次衰变变成(X代表某种元素),或再经一次衰变变成最后都衰变成,衰变路径如图所示,则由图可知:①②③④四个过程中________是α衰变;______是β衰变.

(3)如图所示,车厢的质量为M,长度为L,静止在光滑水平面上,质量为m的木块(可看成质点)以速度v0无摩擦地在车厢底板上向右运动,木块与前车壁碰撞后以v0/2的速度向左运动,则再经过多长时间,木块将与后车壁相碰?

(1)用密封性能良好的活塞把一定质量的理想气体封闭在导热性能良好的汽缸中,汽缸的内壁光滑.现将汽缸缓慢地由水平放置(如图甲所示)变成竖直放置(如图乙所示).在此过程中如果环境保持恒温,下列说法正确的是(     )

A.气体分子的平均速率不变

B.气体分子的平均动能变大

C.气缸内壁单位面积上受到气体分子撞击的平均作用力不变

D.气缸内气体的分子数密度变大

(2)一定质量理想气体的p-V图象如图所示,其中ab为等容过程,bc为等压过程,ca为等温过程,已知气体在状态a时的温度Ta=600K,在状态b时的体积Vb=11.2L,则:气体在状态c时的体积Vc=____L;气体由状态b到状态c过程从外界吸收的热量Q与对外做功W的大小关系为Q____W.(填“大于”、“小于”、“等于”)

(3)水的密度ρ=1.0×103kg/m3,水的摩尔质量M=1.8×10?2kg/mol,阿伏伽德罗常数NA=6.02×1023mol?1,求:1cm3的水中有多少个水分子?(结果保留一位有效数字.)

B.(选修模块3-4)(12分)

(1)下列说法中正确的是_________.

A.水面上的油膜在阳光照射下会呈现彩色,这是由光的衍射造成的

B.根据麦克斯韦的电磁场理论可知,变化的电场周围一定可以产生变化的磁场

C.狭义相对论认为:光在真空中的传播速度都是一个常数,不随光源和观察者所在参考系的相对运动而改变.

D.在“探究单摆周期与摆长的关系”的实验中,测量单摆周期应该从小球经过平衡位置处开始计时,以减小实验误差

(2)如图所示,一个半径为R的1/4透明球体放置在水平面上,一束蓝光从A点沿水平方向射入球体后经B点射出,最后射到水平面上的C点.已知OA,该球体对蓝光的折射率为.则它从球面射出时的出射角β=___________;若换用一束紫光同样从A点射向该球体,则它从球体射出后落到水平面上形成的光点与C点相比,位置__________(填“偏左”、“偏右”或“不变”).

(3)一列简谐横波沿x轴正方向传播,周期为T=2s,t=0时刻的波形如图所示.此刻,波刚好传到x=6m处,求:质点a平衡位置的坐标x=10m处的质点,经多长时间第一次经过平衡位置向y轴负方向运动?

C.(选修模块3-5)(12分)

(1)下列说法中正确的是(      )

A.比结合能越小,原子核越稳定

B.一群氢原子从n=4的激发态跃迁到基态时,有可能辐射出6种不同频率的光子

C.在光电效应实验中,光电子的最大初动能与入射光强无关,只随入射光频率的增大而增大

D.随着温度的升高,黑体辐射强度的极大值向波长较长方向移动

(2)发生衰变有多种可能性.其中的一种可能是,先衰变成,再经一次衰变变成(X代表某种元素),或再经一次衰变变成最后都衰变成,衰变路径如图所示,则由图可知:①②③④四个过程中________是α衰变;______是β衰变.

(3)如图所示,车厢的质量为M,长度为L,静止在光滑水平面上,质量为m的木块(可看成质点)以速度v0无摩擦地在车厢底板上向右运动,木块与前车壁碰撞后以v0/2的速度向左运动,则再经过多长时间,木块将与后车壁相碰?

 

 选做题(请从A、B和C三小题中选定两小题作答,并在答题卡上把所选题目对应字母后的方框涂满涂黑.如都作答,则按A、B两小题评分.)

A.(选修模块3-3)(12分)

⑴下列说法中正确的是  ▲ 

A.液体表面层分子间距离大于液体内部分子间距离,液体表面存在张力

B.扩散运动就是布朗运动

C.蔗糖受潮后会粘在一起,没有确定的几何形状,它是非晶体

D.对任何一类与热现象有关的宏观自然过程进行方向的说明,都可以作为热力学第二定律的表述

⑵将1ml的纯油酸加到500ml的酒精中,待均匀溶解后,用滴管取1ml油酸酒精溶液,让其自然滴出,共200滴.现在让其中一滴落到盛水的浅盘内,待油膜充分展开后,测得油膜的面积为200cm2,则估算油酸分子的大小是  ▲  m(保留一位有效数字).

⑶如图所示,一直立的汽缸用一质量为m的活塞封闭一定量的理想气体,活塞横截面积为S,汽缸内壁光滑且缸壁是导热的,开始活塞被固定,打开固定螺栓K,活塞下落,经过足够长时间后,活塞停在B点,已知AB=h,大气压强为p0,重力加速度为g

①求活塞停在B点时缸内封闭气体的压强;

②设周围环境温度保持不变,求整个过程中通过缸壁传递的热量Q(一定量理想气体的内能仅由温度决定).

B.(选修3-4试题)

⑴(4分)下列说法正确的是  ▲  

A.泊松亮斑有力地支持了光的微粒说,杨氏干涉实验有力地支持了光的波动说。

B.从接收到的高频信号中还原出所携带的声音或图像信号的过程称为解调

C.当波源或者接受者相对于介质运动时,接受者往往会发现波的频率发生了变化,这种现象叫多普勒效应。

D.考虑相对论效应,一条沿自身长度方向运动的杆,其长度总比杆静止时的长度小

⑵如图所示,真空中有一顶角为75o,折射率为n =的三棱镜.欲使光线从棱镜的侧面AB进入,再直接从侧面AC射出,求入射角θ的取值范围为   ▲  

 

 

⑶(4分) 一列向右传播的简谐横波在某时刻的波形图如图所示。波速大小为0.6m/sP质点的横坐标x = 96cm。求:

①波源O点刚开始振动时的振动方向和波的周期;

②从图中状态为开始时刻,质点P第一次达到波峰时间。

C.(选修模块3-5)(12分)

⑴.氦原子被电离一个核外电子,形成类氢结构的氦离子。已知基态的氦离子能量为E1 =-54.4eV,氦离子能级的示意图如图所示。在具有下列能量的光子中,不能被基态氦离子吸收的是   ▲ 

A.60.3eV          B. 51.0 eV

C.43.2eV          D.54.4 eV

⑵一个静止的,放出一个速度为2.22×107m/s的粒子,同时产生一个新核,并释放出频率为ν=3×1019Hz的γ光子。写出这种核反应方程式   ▲   ;这个核反应中产生的新核的速度为  ▲  ;因γ辐射而引起的质量亏损为  ▲  。(已知普朗克常量h=6.63×10-34J·s)

⑶如图,滑块AB的质量分别为m1m2m1m2,置于光滑水平面上,由轻质弹簧相连接,用一轻绳把两滑块拉至最近,弹簧处于最大压缩状态后绑紧,接着使两滑块一起以恒定的速度v0向右滑动.运动中某时刻轻绳突然断开,当弹簧恢复到其自然长度时,滑块A的速度正好为零。则:

①弹簧第一次恢复到自然长度时,滑块B的速度大小为   ▲

②从轻绳断开到弹簧第一次恢复到自然长度的过程中,弹簧释放的弹性势能Ep =   ▲

 

 选做题(请从A、B和C三小题中选定两小题作答,并在答题卡上把所选题目对应字母后的方框涂满涂黑.如都作答,则按A、B两小题评分.)

A.(选修模块3-3)(12分)

⑴下列说法中正确的是  ▲ 

A.液体表面层分子间距离大于液体内部分子间距离,液体表面存在张力

B.扩散运动就是布朗运动

C.蔗糖受潮后会粘在一起,没有确定的几何形状,它是非晶体

D.对任何一类与热现象有关的宏观自然过程进行方向的说明,都可以作为热力学第二定律的表述

⑵将1ml的纯油酸加到500ml的酒精中,待均匀溶解后,用滴管取1ml油酸酒精溶液,让其自然滴出,共200滴.现在让其中一滴落到盛水的浅盘内,待油膜充分展开后,测得油膜的面积为200cm2,则估算油酸分子的大小是  ▲  m(保留一位有效数字).

⑶如图所示,一直立的汽缸用一质量为m的活塞封闭一定量的理想气体,活塞横截面积为S,汽缸内壁光滑且缸壁是导热的,开始活塞被固定,打开固定螺栓K,活塞下落,经过足够长时间后,活塞停在B点,已知AB=h,大气压强为p0,重力加速度为g

①求活塞停在B点时缸内封闭气体的压强;

②设周围环境温度保持不变,求整个过程中通过缸壁传递的热量Q(一定量理想气体的内能仅由温度决定).

B.(选修3-4试题)

⑴(4分)下列说法正确的是  ▲  

A.泊松亮斑有力地支持了光的微粒说,杨氏干涉实验有力地支持了光的波动说。

B.从接收到的高频信号中还原出所携带的声音或图像信号的过程称为解调

C.当波源或者接受者相对于介质运动时,接受者往往会发现波的频率发生了变化,这种现象叫多普勒效应。

D.考虑相对论效应,一条沿自身长度方向运动的杆,其长度总比杆静止时的长度小

⑵如图所示,真空中有一顶角为75o,折射率为n =的三棱镜.欲使光线从棱镜的侧面AB进入,再直接从侧面AC射出,求入射角θ的取值范围为   ▲  

 

 

⑶(4分) 一列向右传播的简谐横波在某时刻的波形图如图所示。波速大小为0.6m/sP质点的横坐标x = 96cm。求:

①波源O点刚开始振动时的振动方向和波的周期;

②从图中状态为开始时刻,质点P第一次达到波峰时间。

C.(选修模块3-5)(12分)

⑴.氦原子被电离一个核外电子,形成类氢结构的氦离子。已知基态的氦离子能量为E1 =-54.4 eV,氦离子能级的示意图如图所示。在具有下列能量的光子中,不能被基态氦离子吸收的是   ▲ 

A.60.3 eV          B. 51.0 eV

C.43.2 eV          D.54.4 eV

⑵一个静止的,放出一个速度为2.22×107m/s的粒子,同时产生一个新核,并释放出频率为ν=3×1019Hz的γ光子。写出这种核反应方程式    ▲   ;这个核反应中产生的新核的速度为  ▲  ;因γ辐射而引起的质量亏损为  ▲  。(已知普朗克常量h=6.63×10-34J·s)

⑶如图,滑块AB的质量分别为m1m2m1m2,置于光滑水平面上,由轻质弹簧相连接,用一轻绳把两滑块拉至最近,弹簧处于最大压缩状态后绑紧,接着使两滑块一起以恒定的速度v0向右滑动.运动中某时刻轻绳突然断开,当弹簧恢复到其自然长度时,滑块A的速度正好为零。则:

①弹簧第一次恢复到自然长度时,滑块B的速度大小为   ▲

②从轻绳断开到弹簧第一次恢复到自然长度的过程中,弹簧释放的弹性势能Ep =   ▲

 

违法和不良信息举报电话:027-86699610 举报邮箱:58377363@163.com

精英家教网