题目内容

如图甲所示,光滑水平面上停放着一辆上表面粗糙的平板车,一小金属块以水平速度v0滑到平板车上,在0~t0时间内它们的速度随时间变化的图象如图乙所示,求:

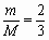
(1)小金属块与平板车的质量之比

(2)小金属块与平板车上表面间的动摩擦因数;

(3)若小金属块刚好没滑离平板车,则平板车的长度为多少.

答案:
解析:

  (1)以平板车和小金属块为研究对象,由平板车和小金属块组成的系统不受外力,所以动量守恒:

   代入数据得: (3分)

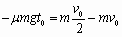
  (2)以小金属块为研究对象,由动量定理

  代入数据得 (3分)

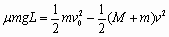
  (3)设小金属块与平板车最后的共同速度为v,由动量守恒定律:

  代入数据得 (3分)

  由能量守恒得  (3分)


练习册系列答案
相关题目

违法和不良信息举报电话:027-86699610 举报邮箱:58377363@163.com

精英家教网