题目内容
长100m的列车通过1000m的隧道,列车头刚进隧道时的速度是10m/s,列车尾完全出隧道时的速度是12m/s,求(1)列车通过隧道时的加速度是多大?
(2)通过隧道所用时间是多少?
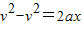
【答案】分析:(1)根据匀变速直线运动的速度位移公式
求出列车的加速度.
(2)根据匀变速直线运动的平均速度公式
求出平均速度,再根据x=
求出列车通过隧道的时间.
解答:解:(1)根据
得,
a=
故列车通过隧道时的加速度为0.02m/s2.
(2)列车的平均速度
则t=
故通过隧道所用时间是100s.
点评:解决本题的关键掌握匀变速直线运动的速度位移公式
以及平均速度公式
.
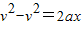
(2)根据匀变速直线运动的平均速度公式
解答:解:(1)根据
a=
故列车通过隧道时的加速度为0.02m/s2.
(2)列车的平均速度
则t=
故通过隧道所用时间是100s.
点评:解决本题的关键掌握匀变速直线运动的速度位移公式
练习册系列答案
相关题目