题目内容

如图所示,固定的锥形漏斗内壁是光滑的,内壁上有两个质量相等的小球A和B,在各自不同的水平面做匀速圆周运动,以下说法正确的是(  )

A.VA>VB                                B.ωAB

C.aA>aB                                 D.压力NA>NB

 

【答案】

A

【解析】

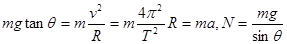
试题分析:重力和弹力的合力提供向心力,设弧线与竖直方向夹角为θ,,可知半径越大线速度越大,A对;由,可知BCD错,故选A

考点:考查匀速圆周运动

点评:本题难度较小,明确小球做的是匀速圆周运动,合外力提供向心力,在分析受力情况,还要明确圆周平面,确定合力的指向

 

练习册系列答案
相关题目

违法和不良信息举报电话:027-86699610 举报邮箱:58377363@163.com

精英家教网