题目内容

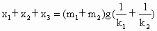
如图所示,劲度系数为的轻质弹簧分别与质量的物体1、2拴接,劲度系数为的轻质弹簧的上端与物块2拴接,下端压在桌面上(不拴接).整个系统处于静止状态.现用力将物块1缓慢地竖直上提,直到下面的那个弹簧的下端刚好脱离桌面,此过程中物块1上升的高度是_______.

答案:略
解析:

  由于物体均处于静止状态,则弹簧的弹力等于,弹簧的弹力等于.由胡克定律得,弹簧的压缩量为,弹簧的压缩量,当弹簧刚脱离桌面时,该弹簧的弹力为零,此时弹簧中的弹力等于,由此得,弹簧的伸长量因此物块1上升的高度为


练习册系列答案
相关题目

违法和不良信息举报电话:027-86699610 举报邮箱:58377363@163.com

精英家教网