ÌâÄ¿ÄÚÈÝ
ÈçͼËùʾ£¬ÔÚ¾øÔµË®Æ½ÃæÉÏ£¬ÓÐÏà¾àΪLµÄA¡¢BÁ½µã£¬·Ö±ð¹Ì¶¨×ÅÁ½¸ö´øµçºÉÁ¿¾ùΪQµÄÕýµçºÉ£®OΪABÁ¬ÏßµÄÖе㣬a¡¢bÊÇABÁ¬ÏßÉÏÁ½µã£¬ÆäÖÐAa=Bb=L/4£®Ò»ÖÊÁ¿Îªm¡¢µçºÉÁ¿Îª+qµÄС»¬¿é£¨¿ÉÊÓΪÖʵ㣩ÒÔ³õ¶¯ÄÜEk0´Óaµã³ö·¢£¬ÑØABÖ±ÏßÏòbÔ˶¯£¬ÆäÖÐС»¬¿éµÚÒ»´Î¾¹ýOµãʱµÄ¶¯ÄÜΪ2Ek0£¬µÚÒ»´Îµ½´ïbµãʱµÄ¶¯ÄÜÇ¡ºÃΪÁ㣬С»¬¿é×îÖÕÍ£ÔÚOµã£¬ÒÑÖª¾²µçÁ¦³£Á¿Îªk£®Ç󣺣¨1£©Ð¡»¬¿éÓëË®Æ½Ãæ¼ä»¬¶¯Ä¦²ÁÁ¦µÄ´óС£®
£¨2£©Ð¡»¬¿é¸ÕÒªµ½´ïbµãʱ¼ÓËٶȵĴóСºÍ·½Ïò£®
£¨3£©Ð¡»¬¿éÔ˶¯µÄ×Ü·³Ìs×Ü£®
¡¾´ð°¸¡¿·ÖÎö£º£¨1£©abÁ½µãµçÊÆÏàµÈ£¬¹Êµç³¡Á¦²»×ö¹¦£¬Ö»ÓÐĦ²ÁÁ¦×ö¹¦£¬ÔòÓɶ¯Äܶ¨Àí¿ÉÇóµÃĦ²ÁÁ¦µÄ´óС£»
£¨2£©»¬¿éÔÚbµãʱ£¬ÊÜA¡¢BµÄ¿âÂØÁ¦¼°Ä¦²ÁÁ¦£¬ÓÉÅ£¶ÙµÚ¶þ¶¨ÂÉ¿ÉÇóµÃ¼ÓËÙ¶È£»
£¨3£©ÓÉÌâÒâ¿ÉÖªÎïÌåӦͣÔÚOµã£¬Óɶ¯Äܶ¨Àí¿ÉÇóµÃ´Óaµ½oµãʱµç³¡Á¦Ëù×öµÄ¹¦£¬Ôò¶ÔÈ«³ÌÓɶ¯Äܶ¨Àí¿ÉÇóµÃ»¬¿é»¬¶¯µÄ×Ü·³Ì£®
½â´ð£º½â£º
£¨1£©aµãÓëbµãµÈÊÆ£¬Ð¡»¬¿éµÚÒ»´ÎÓÉaµ½b£¬Óɶ¯Äܶ¨ÀíÓÐ
ÇóµÃ£º
С»¬¿éÓëË®Æ½Ãæ¼ä»¬¶¯Ä¦²ÁÁ¦µÄ´óС
£»
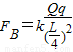
£¨2£©Ð¡»¬¿é¸ÕÒªµ½bʱ£¬ÊÜ¿âÂØÁ¦

ÔÚbµã£¬ÓÉÅ£¶ÙµÚ¶þ¶¨ÂÉÓУºFB+Ff-FA=ma£¬½âµÃ£º
bµãʱµÄ¼ÓËÙ¶ÈΪ
£»
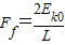
£¨3£©ÓÉaµÚÒ»´Îµ½oʱ¾²µçÁ¦×ö¹¦ÎªW£¬ÓУº
ÓÉa¿ªÊ¼µ½×îºóÍ£ÔÚOµã£¬ÓУºW-Ffs×Ü=0-Ek0
ÓÉÒÔÉ϶þʽµÃ£º
С»¬¿éÔ˶¯µÄ×ܾàÀëΪ
£®
µãÆÀ£ºµç³¡Öе͝Äܶ¨ÀíµÄÓ¦ÓÃҪעÒâµç³¡Á¦×ö¹¦ºÍ·¾¶Î޹أ¬Ö»ºÍ³õÄ©Á½µãµÄµçÊÆ²îÓйأ¬¹ÊºÜÈÝÒ׿ÉÇóµÃµç³¡Á¦µÄ¹¦£®
£¨2£©»¬¿éÔÚbµãʱ£¬ÊÜA¡¢BµÄ¿âÂØÁ¦¼°Ä¦²ÁÁ¦£¬ÓÉÅ£¶ÙµÚ¶þ¶¨ÂÉ¿ÉÇóµÃ¼ÓËÙ¶È£»
£¨3£©ÓÉÌâÒâ¿ÉÖªÎïÌåӦͣÔÚOµã£¬Óɶ¯Äܶ¨Àí¿ÉÇóµÃ´Óaµ½oµãʱµç³¡Á¦Ëù×öµÄ¹¦£¬Ôò¶ÔÈ«³ÌÓɶ¯Äܶ¨Àí¿ÉÇóµÃ»¬¿é»¬¶¯µÄ×Ü·³Ì£®
½â´ð£º½â£º
£¨1£©aµãÓëbµãµÈÊÆ£¬Ð¡»¬¿éµÚÒ»´ÎÓÉaµ½b£¬Óɶ¯Äܶ¨ÀíÓÐ
ÇóµÃ£º
С»¬¿éÓëË®Æ½Ãæ¼ä»¬¶¯Ä¦²ÁÁ¦µÄ´óС
£¨2£©Ð¡»¬¿é¸ÕÒªµ½bʱ£¬ÊÜ¿âÂØÁ¦
ÔÚbµã£¬ÓÉÅ£¶ÙµÚ¶þ¶¨ÂÉÓУºFB+Ff-FA=ma£¬½âµÃ£º
bµãʱµÄ¼ÓËÙ¶ÈΪ
£¨3£©ÓÉaµÚÒ»´Îµ½oʱ¾²µçÁ¦×ö¹¦ÎªW£¬ÓУº
ÓÉa¿ªÊ¼µ½×îºóÍ£ÔÚOµã£¬ÓУºW-Ffs×Ü=0-Ek0
ÓÉÒÔÉ϶þʽµÃ£º
С»¬¿éÔ˶¯µÄ×ܾàÀëΪ
µãÆÀ£ºµç³¡Öе͝Äܶ¨ÀíµÄÓ¦ÓÃҪעÒâµç³¡Á¦×ö¹¦ºÍ·¾¶Î޹أ¬Ö»ºÍ³õÄ©Á½µãµÄµçÊÆ²îÓйأ¬¹ÊºÜÈÝÒ׿ÉÇóµÃµç³¡Á¦µÄ¹¦£®
Á·Ï°²áϵÁдð°¸
Ïà¹ØÌâÄ¿