题目内容

据观测,某行星外围有一模糊不清的环,为了判断该环是连续物还是卫星群,测出了环中各层的线速度v的大小与该层至行星中心的距离R.以下判断正确的是

A.若v与R成正比,则环是连续物

B.若v与R成反比,则环是连续物

C.若v2与R成反比,则环是卫星群

D.若v2与R成正比,则环是卫星群

答案:AC
解析:

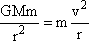
若是连续物,各层的角速度应相同,则v=ωR,所以v与R成正比;若是卫星群,则靠万有引力提供向心力,即,所以v2,即v2与r成反比.


练习册系列答案
相关题目

违法和不良信息举报电话:027-86699610 举报邮箱:58377363@163.com

精英家教网