题目内容

(10分)一物体作匀加速直线运动,在2s内通过的位移为6m,在紧接着的1s内通过的位移也为6m。求物体运动的加速度的大小。

 

【答案】

【解析】

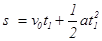
试题分析:设物体的初速度为v0,通过第一段位移s时,由匀变速直线运动的位移公式得

     3分

通过两段位移2s时,由匀变速直线运动的位移公式得

      3分

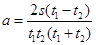
联立解得:  2分

代入数据           2分

考点:匀变速直线运动的位移与时间的关系.

 

练习册系列答案
相关题目

违法和不良信息举报电话:027-86699610 举报邮箱:58377363@163.com

精英家教网