题目内容

如图,一半径为R的圆表示一柱形区域的横截面(纸面).在柱形区域内加一方向垂直于纸面的匀强磁场,一质量为m、电荷量为q的粒子沿图中直线在圆上的a点射入柱形区域,在圆上的b点离开该区域,离开时速度方向与直线垂直.圆心O到直线的距离为.现将磁场换为平等于纸面且垂直于直线的匀强电场,同一粒子以同样速度沿直线在a点射入柱形区域,也在b点离开该区域.若磁感应强度大小为B,不计重力,求电场强度的大小.

答案:
解析:

  答案:

  解析:粒子在磁场中做圆周运动,设圆周的半径为r,由牛顿第二定律和洛仑兹力公式得

  qvB=m①;式中v为粒子在a点的速度.

  过b点和O点作直线的垂线,分别与直线交于c和d点.由几何关系知,线段和过a、b两点的轨迹圆弧的两条半径围成一正方形.因此,

  设x,由几何关系得

  

  联立式得

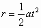
  再考虑粒子在电场中的运动.设电场强度的大小为E,粒子在电场中做类平抛运动.设其加速度大小为a,由牛顿第二定律和带电粒子在电场中受力公式得

  粒子在电场方向和直线方向所走的距离均为r,由运动学公式得

  

  vt⑧

  式中t是粒子在电场中运动的时间,联立式得


练习册系列答案
相关题目

违法和不良信息举报电话:027-86699610 举报邮箱:58377363@163.com

精英家教网