题目内容

如图是回旋加速器示意图,其核心部分是两个D形金属盒,两个完全相同的金属盒置于匀强磁场中,并分别与高频电源相连。现分别加速氘核(q1、m1)和氦核(q2、m2)。已知q2=2q1,m2 =2m1,下列说法中正确的是(    )

A.它们的最大速度相同

B.它们的最大动能相同

C.仅增大高频电源的电压可增大粒子的最大动能

D.仅增大高频电源的频率可增大粒子的最大动能

 

【答案】

A

【解析】

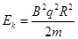
试题分析:由题意知当粒子的轨道半径等于D形盒半径时,速度最大,动能最大,根据,解得,因为两粒子的比荷相等,则它们的最大速度相同.故A正确.粒子的最大动能,根据两粒子的质量和电量的关系,知不等,则最大动能不同.故B错误.根据知,增大电压和频率,最大动能不变,要增大粒子的动能,需增加磁感应强度和D形盒的半径.故C、D错误.

考点:本题咔嚓回旋加速器的原理。

 

练习册系列答案
相关题目

违法和不良信息举报电话:027-86699610 举报邮箱:58377363@163.com

精英家教网