题目内容
如图所示,一个斜面固定在水平面上,从斜面顶端以不同初速度v水平抛出小物体,得到物体在空中运动时间t与初速度v的关系如下表,试求:| v/m?s-1 | … | 2 | … | 9 | 10 | … |
| t/s | … | 0.30 | … | 1.000 | 1.000 | … |
(2)斜面的倾角θ= .
【答案】分析:由表格中的数据可知,当速度大于9m/s时,运动时间不变,则物体落到水平面上,当速度为2m/s时,落在斜面上,根据平抛运动水平方向和竖直方向上的运动规律求出斜面的高度和倾角.
解答:解:斜面的高度h=
.
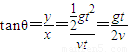
当速度为2m/s时,小球落在斜面上,有:
=
,则θ=37°.
故答案为:5,37°.
点评:解决本题的关键掌握平抛运动在水平方向和竖直方向上的运动规律,结合运动学公式进行求解.
解答:解:斜面的高度h=
当速度为2m/s时,小球落在斜面上,有:
故答案为:5,37°.
点评:解决本题的关键掌握平抛运动在水平方向和竖直方向上的运动规律,结合运动学公式进行求解.
练习册系列答案
相关题目