ÌâÄ¿ÄÚÈÝ
ÔÚ²â¶¨ÄøÍºÏ½ðË¿µç×èÂʵÄʵÑéÖУ¬´ý²âÄøÍºÏ½ðË¿³¤LÔ¼0.8m£¬Ö±¾¶dСÓÚ1mm£¬µç×èÔÚ5¦¸×óÓÒ£®¢ÙÓÃÂÝÐý²â΢Æ÷²âÁ¿ÄøÍºÏ½ðË¿µÄÖ±¾¶£¬¶ÁÊýÈçͼ¼×Ëùʾ£¬ÆäÖ±¾¶Îª______mm£®
¢Úijͬѧ²ÉÓÃÈçͼÒÒËùʾµÄµç·²âÁ¿ÄøÍºÏ½ðË¿µÄµç×裬ÔÚ±ûͼµÄʵÎïÖÐÁ¬½ÓʵÎïͼ£®
¢ÛÓ÷ü°²·¨²âÁ¿ÄøÍºÏ½ðË¿µÄµç×裬µçѹ±íµÄ¶ÁÊýΪU£¬µçÁ÷±í¶ÁÊýΪI£¬¸ù¾Ý²âÁ¿Öµ£¬µÃµ½ÄøÍºÏ½ðË¿µç×èÂʵıí´ïʽΪ¦Ñ=______£¨ÓÃÌâÖеķûºÅ±í´ï£©£®
¢ÜÓÉÓÚËùÓõçѹ±í²»ÊÇÀíÏëµçѹ±í£¬ËùÒÔ²âµÃµÄµç×èÂʱÈʵ¼Êֵƫ______£¨Ìî¡°´ó¡±»ò¡°Ð¡¡±£©£®
¡¾´ð°¸¡¿·ÖÎö£º¢ÙÂÝÐý²â΢Æ÷µÄ¶ÁÊýµÈÓڹ̶¨¿Ì¶È¶ÁÊý¼ÓÉϿɶ¯¿Ì¶È¶ÁÊý£¬ÔÚ¶Á¿É¶¯¿Ì¶È¶ÁÊýʱÐè¹À¶Á£®
¢Ú¸ù¾Ýµç·ͼÁ¬½ÓʵÎïͼ£®×¢Ò⻬¶¯±ä×èÆ÷²ÉÓ÷Öѹʽ½Ó·¨£¬µçÁ÷±í²ÉÈ¡Íâ½Ó·¨£®
¢Û½áºÏµç×趨ÂɺÍÅ·Ä·¶¨ÂÉÇó³öµç×èÂʵıí´ïʽ£®
¢ÜµçÁ÷±í²ÉÈ¡Íâ½Ó·¨£¬ÓÉÓÚµçѹ±íÆð·ÖÁ÷×÷Ó㬵¼Ö²âÁ¿µÄµçÁ÷Æ«´ó£¬¸ù¾ÝÅ·Ä·¶¨Âɺ͵ç×趨Âɵóöµç×èÂʲâÁ¿µÄÎó²îÊÇÆ«´ó»¹ÊÇÆ«Ð¡£®
½â´ð£º½â£º¢ÙÂÝÐý²â΢Æ÷µÄ¶ÁÊýΪ£º0.5mm+0.01×38.8mm=0.888mm£®
¢ÚʵÎïͼÁ¬½ÓÈçÏÂͼ£®
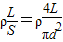
¢Û¸ù¾ÝÅ·Ä·¶¨Âɵã¬R=
£¬¸ù¾Ýµç×趨Âɵã¬R=
£¬ÁªÁ¢Á½Ê½½âµÃ
£®
¢ÜËùÓõçѹ±í²»ÊÇÀíÏëµçѹ±í£¬µçѹ±íÆð·ÖÁ÷×÷Ó㬵¼Ö²âÁ¿µÄµçÁ÷Æ«´ó£¬¸ù¾ÝÅ·Ä·¶¨ÂɲâÁ¿µÄµç×èÆ«Ð¡£¬¸ù¾Ýµç×趨ÂÉÖª£¬µ¼Öµç×èÂʵIJâÁ¿ÖµÆ«Ð¡£®
¹Ê´ð°¸Îª£º¢Ù0.885¡«0.888
¢ÚÁ¬ÏßÈçͼʾ

¢Û
¢ÜС
µãÆÀ£º½â¾ö±¾ÌâµÄ¹Ø¼üÕÆÎÕÂÝÐý²â΢Æ÷µÄ¶ÁÊý·½·¨£¬ÒÔ¼°ÕÆÎÕÅ·Ä·¶¨Âɺ͵ç×趨ÂÉ£¬»á·ÖÎöÎó²îµÄÀ´Ô´£®
¢Ú¸ù¾Ýµç·ͼÁ¬½ÓʵÎïͼ£®×¢Ò⻬¶¯±ä×èÆ÷²ÉÓ÷Öѹʽ½Ó·¨£¬µçÁ÷±í²ÉÈ¡Íâ½Ó·¨£®
¢Û½áºÏµç×趨ÂɺÍÅ·Ä·¶¨ÂÉÇó³öµç×èÂʵıí´ïʽ£®
¢ÜµçÁ÷±í²ÉÈ¡Íâ½Ó·¨£¬ÓÉÓÚµçѹ±íÆð·ÖÁ÷×÷Ó㬵¼Ö²âÁ¿µÄµçÁ÷Æ«´ó£¬¸ù¾ÝÅ·Ä·¶¨Âɺ͵ç×趨Âɵóöµç×èÂʲâÁ¿µÄÎó²îÊÇÆ«´ó»¹ÊÇÆ«Ð¡£®
½â´ð£º½â£º¢ÙÂÝÐý²â΢Æ÷µÄ¶ÁÊýΪ£º0.5mm+0.01×38.8mm=0.888mm£®
¢ÚʵÎïͼÁ¬½ÓÈçÏÂͼ£®
¢Û¸ù¾ÝÅ·Ä·¶¨Âɵã¬R=
¢ÜËùÓõçѹ±í²»ÊÇÀíÏëµçѹ±í£¬µçѹ±íÆð·ÖÁ÷×÷Ó㬵¼Ö²âÁ¿µÄµçÁ÷Æ«´ó£¬¸ù¾ÝÅ·Ä·¶¨ÂɲâÁ¿µÄµç×èÆ«Ð¡£¬¸ù¾Ýµç×趨ÂÉÖª£¬µ¼Öµç×èÂʵIJâÁ¿ÖµÆ«Ð¡£®
¹Ê´ð°¸Îª£º¢Ù0.885¡«0.888
¢ÚÁ¬ÏßÈçͼʾ
¢Û
µãÆÀ£º½â¾ö±¾ÌâµÄ¹Ø¼üÕÆÎÕÂÝÐý²â΢Æ÷µÄ¶ÁÊý·½·¨£¬ÒÔ¼°ÕÆÎÕÅ·Ä·¶¨Âɺ͵ç×趨ÂÉ£¬»á·ÖÎöÎó²îµÄÀ´Ô´£®
Á·Ï°²áϵÁдð°¸
Ïà¹ØÌâÄ¿