题目内容
有一汽车沿一略为倾斜的坡路以速度v1向上匀速行驶,若保持发动机的功率不变,沿此坡向下匀速行驶的速度为v2,设摩擦阻力不变,则汽车以同样的功率在水平路面上匀速行驶时,其速度为 .
【答案】分析:汽车匀速运动,受力平衡,对汽车进行受力分析,根据平衡条件列式,再根据P=Fv列式即可求解.
解答:解:设功率为P,向上匀速运动时有:
F1=mgsinθ+f
P=F1v1
向下匀速运动时有:
F2+mgsinθ=f
P=F2v2
在水平路面上运动运动时有:
F3=f
P=F3v3
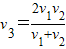
由上述几式解得:

故答案为:
点评:汽车的功率不变,但是在向上运动和向下运动的时候,汽车的受力不一样,根据P=Fv和平衡条件列式求解,难度适中.
解答:解:设功率为P,向上匀速运动时有:
F1=mgsinθ+f
P=F1v1
向下匀速运动时有:
F2+mgsinθ=f
P=F2v2
在水平路面上运动运动时有:
F3=f
P=F3v3
由上述几式解得:
故答案为:
点评:汽车的功率不变,但是在向上运动和向下运动的时候,汽车的受力不一样,根据P=Fv和平衡条件列式求解,难度适中.
练习册系列答案
相关题目