题目内容
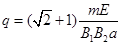
如图所示,两平行金属板AB中间有互相垂直的匀强电场和匀强磁场。A板带正电荷,B板带等量负电荷,板间电场强度为E;磁场方向垂直纸面向里,磁感应强度为B1。平行金属板右侧有一挡板M,中间有小孔O′,OO′是平行于两金属板的中心线。挡板右侧有垂直纸面向外的匀强磁场,磁场应强度为B2。CD为磁场B2边界上的一绝缘板,它与M板的夹角θ=45°,O′C=a,现有大量质量均为m,含有不同电荷量、不同速度的正、负带电粒子(不计重力),自O点沿OO′方向进入电磁场区域,其中有些粒子沿直线OO′方向运动,并进入匀强磁场B2中,求:
![]()
(1)进入匀强磁场B2的带电粒子的速度
(2)能击中绝缘板CD的粒子中,所带电荷量的最大值
(3)绝缘板CD上被带电粒子击中区域的长度
【答案】
(1)
(2)
(3)2a
【解析】
试题分析:(1)设沿直线OO′运动的带电粒子进入匀强磁场B2的速度为![]()
根据:![]()
解得:
。
(2)粒子进入匀强磁场B2中做匀速圆周运动
根据:
,解得:
因此电荷量最大的粒子运动的轨道半径最小,设最小半径为r1
由几何关系有:
,解得最大电荷量为:
。
![]()
(3)带负电的粒子在磁场B2中向上偏转,某带负电粒子轨迹与CD相切,设半径为r2,依题意:![]()
解得: ![]()
则CD板上被带电粒子击中区域的长度为:![]()
考点:本题考查带电粒子在复合场运动(速度选择器)、磁场中的偏转与讨论。
练习册系列答案
相关题目
| A、把两板间距离减小一半,同时把粒子速率增加一倍 | B、把两板的距离增大一倍,同时把板间的磁感应强度增大一倍 | C、把开关S断开,两板的距离增大一倍,同时把板间的磁感应强度减为一半 | D、把开关S断开,两板的距离减小一半,同时把粒子速率减小一半 |