题目内容

(15分)如图所示,倾角为37°的粗糙斜面AB底端与半径R=0.4m的光滑半圆轨道BC平滑相连,O为轨道圆心,BC为圆轨道直径且处于竖直方向,A、C两点等高。质量m=1kg的滑块从A点由静止开始下滑,恰能滑到与O等高的D点,g取10m/s2,sin37º=0.6, cos37º=0.8。

⑴求滑块与斜面间的动摩擦因数

⑵若使滑块能到达C点,求滑块从A点沿斜面滑下时的初速度v0的最小值。

⑶若滑块离开C处的速度大小为4m/s,求滑块从C点飞出至落到斜面上的时间t。

 

【答案】

(1)0.375  (2)(3)0.2s

【解析】

试题分析:⑴A到D过程:根据动能定理 有

    3分

        1分

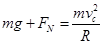
⑵若滑块能到达C点,根据牛顿第二定律 有

        1分

          1分

A到C的过程:根据动能定理 有

      2分

         2分

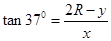
⑶离开C点做平抛运动

           2分

          1分

解得          2分

考点:本题考查了动能定理、牛顿运动定律与圆周运动的结合和平抛运动。

 

练习册系列答案
相关题目

违法和不良信息举报电话:027-86699610 举报邮箱:58377363@163.com

精英家教网