题目内容
2007年10月31日,我国将“嫦娥一号”卫星送入太空,经过3次近月制动,卫星于11月7日顺利进入环月圆轨道.在不久的将来,我国宇航员将登上月球,届时“嫦娥号”飞船将进入绕月飞行的圆形轨道a,如图,当飞船运动至A点时启动登月舱进入椭圆轨道b,到B点实现着陆,(椭圆轨道的一个焦点在月球中心,A、B分别为与轨道a和月球表面相切点).已知月球质量为M,半径为R,轨道a半径为r,万有引力常量为G.试求:(1)飞船绕月飞行的周期Ta;
(2)登月舱由轨道a进入轨道b时,在A点应启动发动机,向前喷气还是向后喷气?从A点到B点的时间是多少?
【答案】分析:本题先考虑飞船为何绕月球做匀速圆周运动,后用万有引力提供向心力列方程求飞船周期,再利用开普勒第三定律求时间.
解答:解:(1)设飞船的质量为m,由万有引力提供向心力,得:
解得:
(2)登月舱由轨道a进入轨道b做向心运动,应减速,故向前喷气.
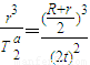
设登月舱从A点到B点的时间为t,由开普勒第三定律:
解得:
点评:本题主要考查万有引力定律的应用,开普勒定律的应用.
解答:解:(1)设飞船的质量为m,由万有引力提供向心力,得:
解得:
(2)登月舱由轨道a进入轨道b做向心运动,应减速,故向前喷气.
设登月舱从A点到B点的时间为t,由开普勒第三定律:
解得:
点评:本题主要考查万有引力定律的应用,开普勒定律的应用.
练习册系列答案
相关题目