题目内容

(9分)如图所示,相距2L的AB、CD两直线间的区域存在着两个大小不同、方向相反的有界匀强电场,其中PT上方的电场E1的场强方向竖直向下,PT下方的电场E0的场强方向竖直向上,在电场左边界AB上宽为L的PQ区域内,连续分布着电量为+q、质量为m的粒子.从某时刻起由Q到P点间的带电粒子,依次以相同的初速度v0沿水平方向垂直射入匀强电场E0中,若从Q点射入的粒子,通过PT上的某点R进入匀强电场E1后从CD边上的M点水平射出,其轨迹如图,若MT两点的距离为L/2.不计粒子的重力及它们间的相互作用.试求:

(1)电场强度E0与E1

(2)在PQ间还有许多水平射入电场的粒子通过电场后也能垂直CD边水平射出,这些入射点到P点的距离有什么规律?

 

【答案】

(1)  (2)PF间的距离为 (n = 1,2,3,……)

【解析】

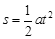
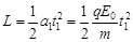
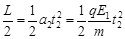
试题分析:(1)设粒子经PT直线上的点R由E0电场进入E1电场,由Q到R及R到M点的时间分别为t1与t2,到达R时竖直速度为vy,则:

得:

     ①

     ②

       ③

          ④

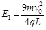
上述三式联立解得: ,      

(2)由及③式可得.

因沿PT方向粒子做匀速运动,故P、R两点间的距离是R、T两点间距离的两倍.即粒子在E0电场做类平抛运动在PT方向的位移是在E1电场中的两倍.

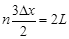
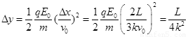
设PQ间到P点距离为△y的F处射出的粒子通过电场后也沿水平方向,若粒子第一次达PT直线用时△t,水平位移为△x,则

       

粒子在电场E1中可能做类平抛运动后垂直CD边射出电场,也可能做类斜抛运动后返回E0电场,在E0电场中做类平抛运动垂直CD水平射出,或在E0电场中做类斜抛运动再返回E1电场.,若粒子从E1电场垂直CD射出电场,则

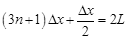
  (n=0、1、2、3、……)

解之得:  (n=0、1、2、3、……)

若粒子从E0电场垂直CD射出电场,则

 (k=1、2、3、……)     

  (k=1、2、3、……)

即PF间的距离为其中n=0、1、2、3、……,k=1、2、3、……

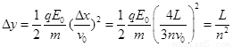
  (n=1、2、3、……)

解之得:  

(n=1、2、3、……)

即PF间的距离为 (n = 1,2,3,……)

考点:考查了带电粒子在电场中的加速偏转

 

练习册系列答案
相关题目

违法和不良信息举报电话:027-86699610 举报邮箱:58377363@163.com

精英家教网