题目内容

如图所示,一个圆台,A底半径,B底半径,其母线AB为L,旋转在水平地面上,推动它之后,它以角速度ω滚动,同时整体绕O点做匀速圆周运动,接触部分不打滑.求:

(1)A端的平面上的圆半径OA;

(2)圆台绕O点滚动一周的时间.

答案:略
解析:

(1)(2)

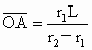
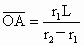
  (1)根据相似三角形对应边成比例有,所以

  (2)设圆台A面边缘上某点的线速度为v,则圆台绕O点做匀速圆周运动的周期为.又圆台以角速度ω绕自身转轴转动有v=rω,联立以上两式得


练习册系列答案
相关题目

违法和不良信息举报电话:027-86699610 举报邮箱:58377363@163.com

精英家教网