题目内容

我国首个月球探测计划“嫦娥工程”将分三个阶段实施,大约用十年左右时间完成,这极大的提高了同学们对月球的关注程度.以下是某同学就有关月球的知识设计的两个问题,请你解答:

(1)若已知地球半径为R,地球表面的重力加速度为g,月球绕地球运动的周期为T,且把月球绕地球的运动近似看做是匀速圆周运动.试求出月球绕地球运动的轨道半径.

(2)若某位宇航员随登月飞船登陆月球后,在月球表面某处以速度v0竖直向上抛出一个小球,经过时间t,小球落回到抛出点.已知月球半径为R,万有引力常量为G.试求出月球的质量M

答案:
解析:

  解:(1)忽略地球的自转,可知

  ①(2分)

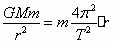
  对月球,由牛顿第二定律知

  ②(2分)

  解得(2分)

  (2)上抛小球,由运动学公式知

  ③(2分)

  忽略月球的自转,可知

  ④(2分)

  得(2分)


练习册系列答案
相关题目

违法和不良信息举报电话:027-86699610 举报邮箱:58377363@163.com

精英家教网