ÌâÄ¿ÄÚÈÝ
ÈçͼËùʾ£¬ÔÚÒ»¸öÔ²ÐÎÇøÓòÄÚ£¬Á½¸ö·½ÏòÏà·´ÇÒ¶¼´¹Ö±ÓÚÖ½ÃæµÄÔÈÇ¿´Å³¡·Ö²¼ÔÚÒÔÖ±¾¶A2A4Ϊ±ß½çµÄÁ½¸ö°ëÔ²ÐÎÇøÓò¢ñ¡¢¢òÖУ¬A2A4ÓëA1A3µÄ¼Ð½ÇΪ60°£®Ò»ÖÊÁ¿Îªm¡¢´øµçÁ¿Îª+qµÄÁ£×ÓÒÔijһËÙ¶È´Ó¢ñÇøµÄ±ßÔµµãA1´¦ÑØÓëA1A3³É30°½ÇµÄ·½ÏòÉäÈë´Å³¡£¬Ëæºó¸ÃÁ£×ÓÒÔ´¹Ö±ÓÚA2A4µÄ·½Ïò¾¹ýÔ²ÐÄO½øÈë¢òÇø£¬×îºóÔÙ´ÓA4´¦Éä³ö´Å³¡£®ÒÑÖª¸ÃÁ£×Ó´ÓÉäÈëµ½Éä³ö´Å³¡ËùÓõÄʱ¼äΪt£¬Çó¢ñÇøºÍ¢òÇøÖдŸÐӦǿ¶ÈµÄ´óС£¨ºöÂÔÁ£×ÓÖØÁ¦£©£®
¡¾´ð°¸¡¿·ÖÎö£ºÓÉÌâÒâ¿ÉÖªÁ£×ÓÔÚÁ½´Å³¡ÖеÄת¶¯¹ì¼££¬Óɼ¸ºÎ¹ØÏµ¿ÉÖªÁ½Ô²µÄ°ë¾¶£¬ÔòÓÉÂåÂØ×ÈÁ¦³äµ±ÏòÐÄÁ¦¿ÉÁгö·½³Ì£»ÔÙ¸ù¾ÝÔÚÁ½´Å³¡ÖÐת¹ýµÄÔ²ÐĽǿÉÇóµÃÔÚÁ½´Å³¡ÖеÄʱ¼ä£¬ÔòÓÉÁ½Á£×ÓÔÚÁ½´Å³¡ÖÐÔ˶¯µÄ×Üʱ¼ä¿ÉÁгö¹ØÓÚʱ¼äµÄ±í´ïʽ£¬ÁªÁ¢¿É½âµÃ´Å¸ÐӦǿ¶È£®
½â´ð£º½â£º
ÉèÁ£×ÓµÄÈëÉäËÙ¶ÈΪv£¬ÒÑÖªÁ£×Ó´øÕýµç£¬¹ÊËüÔڴų¡ÖÐÏÈ˳ʱÕë×öÔ²ÖÜÔ˶¯£¬ÔÙÄæÊ±Õë×öÔ²ÖÜÔ˶¯£¬×îºó´ÓA4µãÉä³ö£¬ÓÃB1¡¢B2¡¢R1¡¢R2¡¢T1¡¢T2·Ö±ð±íʾÔڴų¡¢ñÇø¢ò´Å¸ÐӦǿ¶È¡¢¹ìµÀ°ë¾¶ºÍÖÜÆÚ
¢Ù
¢Ú
¢Û
¢Ü
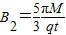
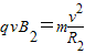
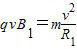
ÉèÔ²ÐÎÇøÓòµÄ°ë¾¶Îªr£¬Èç´ðͼ5Ëùʾ£¬ÒÑÖª´øµçÁ£×Ó¹ýÔ²ÐÄÇÒ´¹Ö±A3A4½øÈë¢òÇø´Å³¡£¬Á¬½ÓA1A2£¬¡÷A1OA2ΪµÈ±ßÈý½ÇÐΣ¬A2Ϊ´øµçÁ£×ÓÔÚ¢òÇø´Å³¡ÖÐÔ˶¯¹ì¼£µÄÔ²ÐÄ£¬Æä°ë¾¶R1=A1A2=OA2=r¢Ý
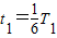
Ô²ÐĽǡÏA1A2O=60°£¬´øµçÁ£×ÓÔÚ¢ñÇø´Å³¡ÖÐÔ˶¯µÄʱ¼äΪ
¢Þ
´øµçÁ£×ÓÔÚ¢òÇø´Å³¡ÖÐÔ˶¯¹ì¼£µÄÔ²ÐÄÔÚOA4µÄÖе㣬¼´R=
r ¢ß
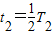
ÔÚ¢òÇø´Å³¡ÖÐÔ˶¯Ê±¼äΪ
¢à
´øµçÁ£×Ó´ÓÉäÈëµ½Éä³ö´Å³¡ËùÓõÄ×Üʱ¼ät=t1+t2¢á
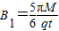
ÓÉÒÔÉϸ÷ʽ¿ÉµÃ
¢â
¹ÊIÇø´Å¸ÐӦǿ¶ÈΪ
£»IIÇø´Å¸ÐӦǿ¶ÈΪ
£®
µãÆÀ£º´øµçÁ£×ÓÔڴų¡ÖеÄÔ˶¯£¬Ò»°ã¿ÉÏÈÈ·¶¨Ô²ÐÄÇó³ö°ë¾¶£¬ÔÙÓÉÂåÂØ×ÈÁ¦³äµ±ÏòÐÄÁ¦¼°Ô²µÄÐÔÖÊÇó½â£®
½â´ð£º½â£º
ÉèÔ²ÐÎÇøÓòµÄ°ë¾¶Îªr£¬Èç´ðͼ5Ëùʾ£¬ÒÑÖª´øµçÁ£×Ó¹ýÔ²ÐÄÇÒ´¹Ö±A3A4½øÈë¢òÇø´Å³¡£¬Á¬½ÓA1A2£¬¡÷A1OA2ΪµÈ±ßÈý½ÇÐΣ¬A2Ϊ´øµçÁ£×ÓÔÚ¢òÇø´Å³¡ÖÐÔ˶¯¹ì¼£µÄÔ²ÐÄ£¬Æä°ë¾¶R1=A1A2=OA2=r¢Ý
Ô²ÐĽǡÏA1A2O=60°£¬´øµçÁ£×ÓÔÚ¢ñÇø´Å³¡ÖÐÔ˶¯µÄʱ¼äΪ
´øµçÁ£×ÓÔÚ¢òÇø´Å³¡ÖÐÔ˶¯¹ì¼£µÄÔ²ÐÄÔÚOA4µÄÖе㣬¼´R=
ÔÚ¢òÇø´Å³¡ÖÐÔ˶¯Ê±¼äΪ
´øµçÁ£×Ó´ÓÉäÈëµ½Éä³ö´Å³¡ËùÓõÄ×Üʱ¼ät=t1+t2¢á
ÓÉÒÔÉϸ÷ʽ¿ÉµÃ
¹ÊIÇø´Å¸ÐӦǿ¶ÈΪ
µãÆÀ£º´øµçÁ£×ÓÔڴų¡ÖеÄÔ˶¯£¬Ò»°ã¿ÉÏÈÈ·¶¨Ô²ÐÄÇó³ö°ë¾¶£¬ÔÙÓÉÂåÂØ×ÈÁ¦³äµ±ÏòÐÄÁ¦¼°Ô²µÄÐÔÖÊÇó½â£®
Á·Ï°²áϵÁдð°¸
Ïà¹ØÌâÄ¿