ÌâÄ¿ÄÚÈÝ
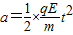
Èçͼ£¬xOyÆ½ÃæÄÚ´æÔÚ×ÅÑØyÖáÕý·½ÏòµÄÔÈÇ¿µç³¡£®Ò»¸öÖÊÁ¿Îªm£¬´øµçºÉÁ¿Îª+qµÄÁ£×Ó´Ó×ø±êÔµãOÒÔËÙ¶ÈvÑØxÖáÕý·½Ïò¿ªÊ¼Ô˶¯£®µ±Ëü¾¹ýͼÖÐÐéÏßÉϵÄM£¨2£¨1£©µç³¡Ç¿¶ÈµÄ´óС£»
£¨2£©NµãµÄ×ø±ê£»
£¨3£©¾ØÐδų¡µÄ×îÐ¡Ãæ»ý£®
¡¾´ð°¸¡¿·ÖÎö£º´øµçÁ£×ÓÔڵ糡ÖÐ×öÀàÆ½Å×Ô˶¯£¬Éä³öµç³¡ºó×öÔÈËÙÖ±ÏßÔ˶¯£¬½øÈëÔڴų¡ÖÐ×öÔÈËÙÔ²ÖÜÔ˶¯£¬ÀûÓÃÀàÆ½Å×Ô˶¯µÄ¹æ´Óµç³¡ÖÐÉä³öËÙ¶È·½ÏòµÄ´¹ÏßÒ»£¬´¹×ãΪP£¬ÔòPµãΪÁ£×ÓÉäÈë´Å³¡µÄÈëÉäµã£¬NΪ´Ó´Å³¡ÖÐÉä³öµÄ³õÉäµã£®ÒÔO¡äΪԲÐÄ£¬ONΪ°ë¾¶×öÔ²ÈçÏÂͼ£»¸ÃÔ²¼´ÊÇÁ£×ÓÔ˶¯µÄ¹ì¼££»×öNP µÄƽÐÐÏßÓëÔ²ÏàÇУ¬ÔÙ×öMO¡äµÄÁ½ÌõƽÐÐÏßÓëÔ²ÏàÇУ¬ÔòÕâÈýÌõÇÐÏߺÍMNΧ³ÉµÄÃæ»ý¼´ÊÇ×îÐ¡Ãæ»ý£®
½â´ð£º½â£º
ÈçͼÊÇÁ£×ÓµÄÔ˶¯¹ý³ÌʾÒâͼ£®
£¨1£©Á£×Ó´ÓOµ½M×öÀàÆ½Å×Ô˶¯£¬Éèʱ¼äΪt£¬ÔòÓÐ
µÃ
µç³¡Ç¿¶È´óСΪ£º
£¨2£©ÉèÁ£×ÓÔ˶¯µ½MµãʱËÙ¶ÈΪv£¬Óëx·½ÏòµÄ¼Ð½ÇΪ¦Á£¬Ôò£º
=
£¬
ÓÉÌâÒâÖª£¬Á£×Ó´ÓPµã½øÈë´Å³¡£¬´ÓNµãÀ뿪´Å³¡£¬Á£×ÓÔÚ
´Å³¡ÖÐÒÔO¡äµãΪԲÐÄ×öÔÈËÙÔ²ÖÜÔ˶¯£¬Éè°ë¾¶ÎªR£¬
Ôò£º
£¬
´úÈëÊý¾ÝµÃÁ£×Ó×öÔ²ÖÜÔ˶¯µÄ°ë¾¶Îª£º
Óɼ¸ºÎ¹ØÏµÖª£º
ËùÒÔNµãµÄ×Ý×ø±êΪ
ºá×ø±êΪ
¹ÊNµãµÄ×ø±êΪ£¨
£©
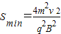
£¨3£©µ±¾ØÐδų¡ÎªÍ¼Ê¾ÐéÏß¾ØÐÎʱµÄÃæ»ý×îС£®Ôò¾ØÐεÄÁ½¸ö±ß³¤·Ö±ðΪ
ËùÒÔ¾ØÐδų¡µÄ×îÐ¡Ãæ»ýΪ£º
¾ØÐδų¡×îÐ¡Ãæ»ýΪ
µãÆÀ£ºÓиÃÌâ¿´³ö£¬·ÖÇåÎïÀí¹ý³Ì£¬²»Í¬ÎïÀí¹ý³ÌÓ¦ÓÃÏàÓ¦µÄÎïÀí֪ʶ£»×¥×¡¹Ø¼ü×־䣬·ÖÎö³ö¹Ø¼üÌõ¼þ£®Èç¸ÃÌâÖÐÁ£×Ó´ÓNµãÑØMNµÄ·½ÏòÉä³ö£¬¼´¿É·ÖÎö³öËÙ¶È·½Ïò£¬ÔÙÀûÓÃÏà¹ØÖªÊ¶À´¡°¶¨Ô²ÐÄ£¬ÕÒ°ë¾¶¡±£»´ËÍâÁ¼ºÃµÄ×÷ͼÄÜÁ¦¼°¼¸ºÎ·ÖÎöÄÜÁ¦Êǽâ¾ö´ËÀàÎÊÌâµÄ¹Ø¼ü
½â´ð£º½â£º
£¨1£©Á£×Ó´ÓOµ½M×öÀàÆ½Å×Ô˶¯£¬Éèʱ¼äΪt£¬ÔòÓÐ
µÃ
µç³¡Ç¿¶È´óСΪ£º
£¨2£©ÉèÁ£×ÓÔ˶¯µ½MµãʱËÙ¶ÈΪv£¬Óëx·½ÏòµÄ¼Ð½ÇΪ¦Á£¬Ôò£º
ÓÉÌâÒâÖª£¬Á£×Ó´ÓPµã½øÈë´Å³¡£¬´ÓNµãÀ뿪´Å³¡£¬Á£×ÓÔÚ
´Å³¡ÖÐÒÔO¡äµãΪԲÐÄ×öÔÈËÙÔ²ÖÜÔ˶¯£¬Éè°ë¾¶ÎªR£¬
Ôò£º
´úÈëÊý¾ÝµÃÁ£×Ó×öÔ²ÖÜÔ˶¯µÄ°ë¾¶Îª£º
Óɼ¸ºÎ¹ØÏµÖª£º
ËùÒÔNµãµÄ×Ý×ø±êΪ
ºá×ø±êΪ
¹ÊNµãµÄ×ø±êΪ£¨
£¨3£©µ±¾ØÐδų¡ÎªÍ¼Ê¾ÐéÏß¾ØÐÎʱµÄÃæ»ý×îС£®Ôò¾ØÐεÄÁ½¸ö±ß³¤·Ö±ðΪ
ËùÒÔ¾ØÐδų¡µÄ×îÐ¡Ãæ»ýΪ£º
¾ØÐδų¡×îÐ¡Ãæ»ýΪ
µãÆÀ£ºÓиÃÌâ¿´³ö£¬·ÖÇåÎïÀí¹ý³Ì£¬²»Í¬ÎïÀí¹ý³ÌÓ¦ÓÃÏàÓ¦µÄÎïÀí֪ʶ£»×¥×¡¹Ø¼ü×־䣬·ÖÎö³ö¹Ø¼üÌõ¼þ£®Èç¸ÃÌâÖÐÁ£×Ó´ÓNµãÑØMNµÄ·½ÏòÉä³ö£¬¼´¿É·ÖÎö³öËÙ¶È·½Ïò£¬ÔÙÀûÓÃÏà¹ØÖªÊ¶À´¡°¶¨Ô²ÐÄ£¬ÕÒ°ë¾¶¡±£»´ËÍâÁ¼ºÃµÄ×÷ͼÄÜÁ¦¼°¼¸ºÎ·ÖÎöÄÜÁ¦Êǽâ¾ö´ËÀàÎÊÌâµÄ¹Ø¼ü
Á·Ï°²áϵÁдð°¸
Ïà¹ØÌâÄ¿