题目内容

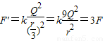
两个完全相同的金属小球,分别带有+3Q和-Q的电荷量,当它们相距r时(r比小球半径大得多),它们之间的库仑力是F,若把它们接触后分开,再置于相距的两点,则它们的库仑力的大小将变为( )
A.
B.F
C.3F
D.9F
【答案】分析:接触带电的原则是先中和再平分.根据库仑定律公式求出库仑力的大小.
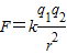
解答:解:根据库仑定律公式得,F=.接触再分离后所带电量各为Q,.故C正确,A、B、D错误.
故选C.
点评:解决本题的关键掌握库仑定律的公式
练习册系列答案
相关题目

违法和不良信息举报电话:027-86699610 举报邮箱:58377363@163.com

精英家教网