题目内容
如图所示,在水平地面上有A、B两个物体,质量分别为mA=2kg,mB=1kg,A、B相距s=9.5m,A以v=10m/s的初速度向静止的B运动,与B发生正碰,分开后仍沿原来方向运动,A、B均停止运动时相距△s=19.5m.已知A、B与水平面间的动摩擦因数均为μ=0.1,取g=10m/s2.求:(1)相碰前A的速度大小.
(2)碰撞过程中的能量损失.
【答案】分析:(1)根据动能定理求出A与B碰撞前的速度.
(2)碰撞过程中A、B组成的系统动量守恒,结合动量守恒定律和动能定理,抓住停止时相距的距离,求出碰撞后的A、B的速度,结合能量守恒定律求出碰撞过程中损失的能量.
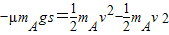
解答:解:(1)设A、B相碰前A的速度大小为v,由动能定理:
…①
代入数据解得:v=9m/s…②
(2)设A、B相碰后A、B的速度大小分别为vA、vB.A、B相碰,动量守恒:mAv=mAvA+mBvB…③
设A、B相碰后到停止运动所通过的位移分别为sA、sB.由动能定理:
对A:
…④
对B:
…⑤
依题意:sB-sA=△s=19.5m…⑥
联立解得:vA=5m/s,vB=8m/s…⑦
A、B碰撞过程中的能量损失:
…⑧
联立得:△E=24J…⑨
答:(1)相碰前A的速度大小为9m/s.
(2)碰撞过程中的能量损失为24J.
点评:本题综合考查了动量守恒定律、动能定理、能量守恒定律,综合性较强,对学生的能力要求较高,需加强这方面的训练.
(2)碰撞过程中A、B组成的系统动量守恒,结合动量守恒定律和动能定理,抓住停止时相距的距离,求出碰撞后的A、B的速度,结合能量守恒定律求出碰撞过程中损失的能量.
解答:解:(1)设A、B相碰前A的速度大小为v,由动能定理:
代入数据解得:v=9m/s…②
(2)设A、B相碰后A、B的速度大小分别为vA、vB.A、B相碰,动量守恒:mAv=mAvA+mBvB…③
设A、B相碰后到停止运动所通过的位移分别为sA、sB.由动能定理:
对A:
对B:
依题意:sB-sA=△s=19.5m…⑥
联立解得:vA=5m/s,vB=8m/s…⑦
A、B碰撞过程中的能量损失:
联立得:△E=24J…⑨
答:(1)相碰前A的速度大小为9m/s.
(2)碰撞过程中的能量损失为24J.
点评:本题综合考查了动量守恒定律、动能定理、能量守恒定律,综合性较强,对学生的能力要求较高,需加强这方面的训练.
练习册系列答案
相关题目