题目内容
一辆以12m/s的速度在水平路面上行驶的汽车,在刹车过程中以3m/s2的加速度做匀减速运动,那么t=5s后的位移是( )A.24米
B.30米
C.22.5米
D.32米
【答案】分析:先根据速度公式求解刹车的时间,判断5s末汽车是否已经停止运动,在用位移公式或速度与位移的关系公式求解即可.
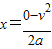
解答:解:根据匀变速运动的速度公式,求解刹车的时间
=
=4s
即汽车在4s末就停止运动了.
所以5s的位移为运动4s的位移
=
=24m
故A正确,BCD错.
故选A.
点评:这是一道刹车问题,刹车问题一定要先求解刹车时间,即汽车经过多长时间停止运动.此题难度不大,属于中档题.
解答:解:根据匀变速运动的速度公式,求解刹车的时间
即汽车在4s末就停止运动了.
所以5s的位移为运动4s的位移
故A正确,BCD错.
故选A.
点评:这是一道刹车问题,刹车问题一定要先求解刹车时间,即汽车经过多长时间停止运动.此题难度不大,属于中档题.
练习册系列答案
相关题目
一辆以12m/s的速度在水平路面行驶的汽车,刹车过程中以4m/s2的加速度作匀减速直线运动,则汽车在2s末的速度是( )
| A、1m/s | B、2m/s | C、3m/s | D、4m/s |