题目内容
(1)为了能较准确地描绘运动轨迹,下面列出了一些操作要求,将你认为正确选项前面的字母填在横线上:______.
A.通过调节使斜槽的末端保持水平
B.每次释放小球的位置必须不同
C.每次必须由静止释放小球
D.记录小球位置用的木条(或凹槽)每次必须严格地等距离下降
E.小球运动时不应与木板上的白纸(或方格纸)相接触
F.将球的位置记录在纸上后,取下纸,用直尺将点连成折线
(2)若用一张印有小方格的纸记录轨迹,小方格的边长为L,小球在平抛运动途中的几个位置如图中的a、b、c、d所示,则小球平抛的初速度的计算式为v=______
【答案】分析:(1)保证小球做平抛运动必须通过调节使斜槽的末端保持水平,因为要画同一运动的轨迹,必须每次释放小球的位置相同,且由静止释放,以保证获得相同的初速度,实验要求小球滚下时不能碰到木板平面,避免因摩擦而使运动轨迹改变,最后轨迹应连成平滑的曲线.
(2)根据竖直方向上,在连续相等时间内的位移之差是一恒量求出相等的时间间隔,再根据水平位移和时间间隔求出平抛运动的初速度.
解答:解:(1)A、通过调节使斜槽末端保持水平,是为了保证小球做平抛运动.故A正确.
B、因为要画同一运动的轨迹,必须每次释放小球的位置相同,且由静止释放,以保证获得相同的初速度.故B错误,C正确.
D、因平抛运动的竖直分运动是自由落体运动,在相同时间里,位移越来越大,因此木条(或凹槽)下降的距离不应是等距的,故D错误;
E、实验要求小球滚下时不能碰到木板平面,避免因摩擦而使运动轨迹改变,最后轨迹应连成平滑的曲线.故F错误,E正确.
故选ACE.
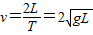
(2)在竖直方向上有:△y=gT2,解得T=
,则初速度
.
故答案为:(1)ACE,(2)
点评:解决平抛实验问题时,要特别注意实验的注意事项.在平抛运动的规律探究活动中不一定局限于课本实验的原理,要注重学生对探究原理的理解.
(2)根据竖直方向上,在连续相等时间内的位移之差是一恒量求出相等的时间间隔,再根据水平位移和时间间隔求出平抛运动的初速度.
解答:解:(1)A、通过调节使斜槽末端保持水平,是为了保证小球做平抛运动.故A正确.
B、因为要画同一运动的轨迹,必须每次释放小球的位置相同,且由静止释放,以保证获得相同的初速度.故B错误,C正确.
D、因平抛运动的竖直分运动是自由落体运动,在相同时间里,位移越来越大,因此木条(或凹槽)下降的距离不应是等距的,故D错误;
E、实验要求小球滚下时不能碰到木板平面,避免因摩擦而使运动轨迹改变,最后轨迹应连成平滑的曲线.故F错误,E正确.
故选ACE.
(2)在竖直方向上有:△y=gT2,解得T=
故答案为:(1)ACE,(2)
点评:解决平抛实验问题时,要特别注意实验的注意事项.在平抛运动的规律探究活动中不一定局限于课本实验的原理,要注重学生对探究原理的理解.
练习册系列答案
相关题目