题目内容

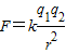
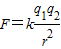
真空中甲、乙两个固定的点电荷,相互作用力为F,若甲的带电量变为原来的2倍,乙的带电量变为原来的8倍,要使它们的作用力仍为F,则它们之间的距离变为原来的    倍.
【答案】分析:根据库仑定律的公式判断点电荷距离的变化.
解答:解:根据得,若甲的带电量变为原来的2倍,乙的带电量变为原来的8倍,库仑力不变,则距离变为原来的4倍.
故答案为:4.
点评:本题考查库仑定律的公式,知道该公式适用于点电荷,属于基础题.
练习册系列答案
相关题目

违法和不良信息举报电话:027-86699610 举报邮箱:58377363@163.com

精英家教网