题目内容
将一电量为q=2x10-6C的点电荷从无穷远移至电场中某点,电场力做功为4x10-5J,求A点的电势 .
【答案】分析:无穷远处电势为零,根据电场力做功与电势能变化的关系公式WAB=EpA-EpB求出电荷在A点的电势能,再根据电势的定义式φ=
得到A点的电势.
解答:解:无穷远处某点O的电势为零,根据电场力做功与电势能变化的关系公式WAB=EpA-EpB,有
WOA=EpO-EpA
无穷远处电势能为零,即EpO=0
故
EpA=-WOA=-4×10-5J
根据电势的定义式φ=
,有
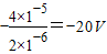
φA=
=
故答案为:-20.
点评:本题关键是先根据功能关系求解电势能,再电势的定义式求解电势;同时要注意电势具有相对性,如果题目中无特殊说明,通常取无穷远处电势为零;
解答:解:无穷远处某点O的电势为零,根据电场力做功与电势能变化的关系公式WAB=EpA-EpB,有
WOA=EpO-EpA
无穷远处电势能为零,即EpO=0
故
EpA=-WOA=-4×10-5J
根据电势的定义式φ=
φA=
故答案为:-20.
点评:本题关键是先根据功能关系求解电势能,再电势的定义式求解电势;同时要注意电势具有相对性,如果题目中无特殊说明,通常取无穷远处电势为零;
练习册系列答案
相关题目