题目内容
我国自行建立的“北斗一号”卫星定位系统由三颗卫星组成,三颗卫星都定位在距地面约36000km的地球同步轨道上,北斗系统主要有三大功能:快速定位、短报文通信、精密授时.美国的全球卫星定位系统(简称CPS)由24颗卫星组成,这些卫星距地面的高度均约为20000km.比较这些卫星,下列说洼中正确的是( )A.“北斗一号”系统中的三颗卫星的质量必须相同,否则它们不能定位在同一轨道上
B.“北斗一号”卫星的周期比GPS卫星的周期短
C.“北斗一号”卫星的加速度比GPS卫星的加速度小
D.“北斗一号”卫星的运行速度比GPS卫星的运行速度大
【答案】分析:根据万有引力提供向心力,求出周期、加速度、速度与轨道半径的关系,从而通过轨道半径的大小比较出它们的大小.
解答:解:A、“北斗一号”系统中的三颗卫星绕地球做圆周运动,与环绕天体的质量无关,三颗卫星的质量不一定相同.故A错误.
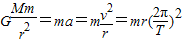
B、根据
,解得a=
,v=
,T=
,知轨道半径越大,向心加速度、速度越小,周期越大,所以“北斗一号”卫星大于GPS卫星的周期,加速度、速度比GPS卫星小.故C正确,B、D错误.
故选C.
点评:解决本题的关键掌握万有引力提供向心力这一理论,知道线速度、周期、加速度与轨道半径的关系.
解答:解:A、“北斗一号”系统中的三颗卫星绕地球做圆周运动,与环绕天体的质量无关,三颗卫星的质量不一定相同.故A错误.
B、根据
故选C.
点评:解决本题的关键掌握万有引力提供向心力这一理论,知道线速度、周期、加速度与轨道半径的关系.
练习册系列答案
相关题目