题目内容

一列沿x轴正向传播的简谐波,在x1=2.0 m和x2=12 m处的两质点的振动图像如图实线和虚线所示.由图可知,则下列关于简谐波的波长和波速的说法正确的是

A.波长可能等于4.0 m

B.波长可能等于10 m;

C.最大波速等于1.0 m/s

D.最大波速等于5.0 m/s

答案:AD
解析:

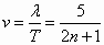
由振动图像可知:在t=0时,质点均振动起来,且x1=2.0 m的质点位于平衡位置且向下运动,x1=2.0 m的质点位于平衡位置且向上运动.据此可知(n=0,1,2……),所以,选项A正确,选项B错误.从振动图像上可知T=4 s,故,选项D正确.


练习册系列答案
相关题目

违法和不良信息举报电话:027-86699610 举报邮箱:58377363@163.com

精英家教网