题目内容
如图所示是物体做匀变速直线运动得到的一条纸带,从O点开始每5个取一个记数点,依照打点的先后顺序依次编为1、2、3、4、5、6,测得s1=5.20cm,s2=4.40cm,s3=3.60cm,s4=2.80cm,s5=2.00cm,s6=1.20cm.已知交流电源的频率为50Hz,则:(1)相邻两间的时间间隔为______s.?
(2)物体的加速度大小a=______m/s2,方向______(填A→B或B→A).
(3)打点计时器打记数点3时,物体的速度大小v3=______m/s,方向______(填A→B或B→A)
【答案】分析:根据匀变速直线运动的推论公式△x=aT2可以求出加速度的大小,根据匀变速直线运动中时间中点的速度等于该过程中的平均速度,可以求出打纸带上3点位置时小车的瞬时速度大小.
解答:解:(1)打点计时器每隔0.02s打一个点,从O点开始每5个取一个记数点,相邻两间的时间间隔为0.1s.
(2)根据匀变速直线运动的推论公式△x=aT2可以求出加速度的大小,
得:x4-x1=3a1T2
x5-x2=3a2T2
x6-x3=3a3T2
为了更加准确的求解加速度,我们对三个加速度取平均值
得:a=
(a1+a2+a3)
即小车运动的加速度计算表达式为:a=(
解得:a=8.00m/s2
依照打点的先后顺序依次编为1、2、3、4、5、6,物体向右做减速运动,减速运动的加速度与运动方向相反,所以加速度方向向左,即B→A.
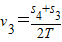
(3)根据匀变速直线运动中时间中点的速度等于该过程中的平均速度,
得:
=0.32m/s
依照打点的先后顺序依次编为1、2、3、4、5、6,物体向右做减速运动,所以运动方向A→B.
故答案为:(1)0.1;(2)8.00,B→A(3)0.32;A→B
点评:利用匀变速直线的规律以及推论解答实验问题的能力,在平时练习中要加强基础知识的理解与应用,提高解决问题能力.
解答:解:(1)打点计时器每隔0.02s打一个点,从O点开始每5个取一个记数点,相邻两间的时间间隔为0.1s.
(2)根据匀变速直线运动的推论公式△x=aT2可以求出加速度的大小,
得:x4-x1=3a1T2
x5-x2=3a2T2
x6-x3=3a3T2
为了更加准确的求解加速度,我们对三个加速度取平均值
得:a=
即小车运动的加速度计算表达式为:a=(
解得:a=8.00m/s2
依照打点的先后顺序依次编为1、2、3、4、5、6,物体向右做减速运动,减速运动的加速度与运动方向相反,所以加速度方向向左,即B→A.
(3)根据匀变速直线运动中时间中点的速度等于该过程中的平均速度,
得:
依照打点的先后顺序依次编为1、2、3、4、5、6,物体向右做减速运动,所以运动方向A→B.
故答案为:(1)0.1;(2)8.00,B→A(3)0.32;A→B
点评:利用匀变速直线的规律以及推论解答实验问题的能力,在平时练习中要加强基础知识的理解与应用,提高解决问题能力.
练习册系列答案
相关题目