题目内容
如图所示,矩形盒B的质量为M,底部长度为L,放在水平面上,盒内有一质量为M/5可视为质点的物体A,A与B、B与地面间的动摩擦因数均为μ,开始时二者均静止,A在B的左端.现瞬间使物体A获得一向右的水平初速度v,以后物体A与盒B的左右壁碰撞时,B始终向右运动.当A与B的左壁最后一次碰撞后,B立刻停止运动,A继续向右滑行距离S(S<L)后也停止运动,则:(1)若A第一次与B碰后瞬间被弹回的速率为v1,求此时矩形盒B的速度.
(2)当B停止运动时A的速度是多少?
(3)求盒B运动的总时间.
【答案】分析:(1)AB碰撞过程动量守恒,根据动量守恒定律和动能定理列式求解即可.
(2)当B停止运动时,A继续向右滑行s(s<L)后停止,根据动能定理列式求解即可.
(3)对系统用动量定理求解.
解答:解:(1)A第一次与B碰前,B是保持静止状态,设A的质量为m,
由动能定理得
①
A、B组成的系统在第一次碰撞过程中动量守恒,设此时B的速率为vB,选向右为正方向,
则mvA=m(-v1)+MvB②
由①、②得
③
(2)最后一次碰撞后的过程中,设B停止运动时A的速度为v,对A由动能定理得
④
解得:
⑤
(3)研究A、B组成的系统,它在水平方向所受的外力就是地面对盒B的滑动摩擦力,设盒B运动的总时间为t,选向右为正方向,由系统的动量定理得(或分别对A、B用动量定理联列得出)
-μ(m+M)gt=mv-mvA⑥

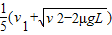
答:(1)若A第一次与B碰后瞬间被弹回的速率为v1,此时矩形盒B的速度为
;
(2)当B停止运动时A的速度是
;
(3)盒B运动的总时间为
.
点评:本题考查动能定理和动量守恒定律、动量定理的综合应用,应熟练掌握其公式.
(2)当B停止运动时,A继续向右滑行s(s<L)后停止,根据动能定理列式求解即可.
(3)对系统用动量定理求解.
解答:解:(1)A第一次与B碰前,B是保持静止状态,设A的质量为m,
由动能定理得
A、B组成的系统在第一次碰撞过程中动量守恒,设此时B的速率为vB,选向右为正方向,
则mvA=m(-v1)+MvB②
由①、②得
(2)最后一次碰撞后的过程中,设B停止运动时A的速度为v,对A由动能定理得
解得:
(3)研究A、B组成的系统,它在水平方向所受的外力就是地面对盒B的滑动摩擦力,设盒B运动的总时间为t,选向右为正方向,由系统的动量定理得(或分别对A、B用动量定理联列得出)
-μ(m+M)gt=mv-mvA⑥
答:(1)若A第一次与B碰后瞬间被弹回的速率为v1,此时矩形盒B的速度为
(2)当B停止运动时A的速度是
(3)盒B运动的总时间为
点评:本题考查动能定理和动量守恒定律、动量定理的综合应用,应熟练掌握其公式.
练习册系列答案
相关题目