ÌâÄ¿ÄÚÈÝ

ÈçÏÂͼËùʾ£¬½ðÊô¸ËaÔÚÀëµØh¸ß´¦´Ó¾²Ö¹¿ªÊ¼ÑØ»¡ÐιìµÀÏ»¬£¬µ¼¹ìƽÐеÄˮƽ²¿·ÖÓÐÊúÖ±ÏòÉϵÄÔÈÇ¿´Å³¡B£¬Ë®Æ½²¿·Öµ¼¹ìÉÏÔ­À´·ÅÓÐÒ»½ðÊô¸Ëb£¬ÒÑÖª¸ËaµÄÖÊÁ¿Îªma£¬ÇÒÓëb¸ËµÄÖÊÁ¿mbÖ®±ÈΪma¡Ãmb£½3¡Ã4£¬Ë®Æ½µ¼¹ì×ã¹»³¤£¬²»¼ÆÄ¦²Á£¬Çó£º

(1)aºÍbµÄ×îÖÕËÙ¶È·Ö±ðÊǶà´ó£¿

(2)Õû¸ö¹ý³ÌÖлØÂ·ÊͷŵĵçÄÜÊǶàÉÙ£¿

(3)ÈôÒÑÖªa¡¢b¸ËµÄµç×èÖ®±ÈRa¡ÃRb£½3¡Ã4£¬ÆäÓàµç×è²»¼Æ£¬Õû¸ö¹ý³ÌÖÐa¡¢bÉϲúÉúµÄÈÈÁ¿·Ö±ðÊǶàÉÙ£¿

´ð°¸£º
½âÎö£º

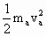
¡¡¡¡(1)aÏ»¬h¸ß¹ý³ÌÖУ¬»úеÄÜÊØºã

¡¡¡¡¡¡¡¡ magh£½¡¡¡¡¡¡¡¡¡¡¡¡¢Ù

¡¡¡¡a½øÈë´Å³¡ºó£¬»ØÂ·ÖвúÉú¸ÐÓ¦µçÁ÷£¬a¡¢b¶¼Êܰ²ÅàÁ¦×÷Óã¬a×ö¼õËÙÔ˶¯£¬b×ö¼ÓËÙÔ˶¯£¬¾­Ò»¶Îʱ¼äºó£¬a¡¢bËÙ¶È´ïµ½Ïà֮ͬºó£¬»ØÂ·µÄ´ÅͨÁ¿²»·¢Éú±ä»¯£¬¸ÐÓ¦µçÁ÷ΪÁ㣬°²ÅàÁ¦ÎªÁ㣬¶þÕßÔÈËÙÔ˶¯£¬ÔÈËÙÔ˶¯µÄËٶȼ´Îªa¡¢bµÄ×îÖÕËÙ¶È£¬ÉèΪv£®Óɹý³ÌÖÐa¡¢bϵͳËùÊܺÏÍâÁ¦ÎªÁ㣬¶¯Á¿ÊغãµÃ

¡¡¡¡¡¡¡¡ mava£½(ma£«mb)v¡¡¡¡¡¡¡¡¢Ú

ÓÉ¢Ù¡¢¢Ú½âµÃ×îÖÕËÙ¶È

¡¡¡¡¡¡¡¡   va£½vb£½v£½£®

¡¡¡¡(2)ÓÉÄÜÁ¿ÊغãÖª£¬»ØÂ·ÖвúÉúµÄµçÄܵÈÓÚa¡¢bϵͳ»úеÄܵÄËðʧ£¬ËùÒÔ

¡¡¡¡   E£½magh£­(ma£«mb)v2£½magh

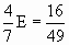
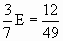
¡¡¡¡(3)»ØÂ·ÖвúÉúµÄÈÈÁ¿Qa£«Qb£½E£¬ÔÚ»ØÂ·ÖвúÉúµçÄܹý³ÌÖУ¬ËäÈ»µçÁ÷²»ºã¶¨£¬µ«ÓÉÓÚRaÓëRb´®Áª£¬Í¨¹ýa¡¢bµÄµçÁ÷×ÜÊÇÏàµÈµÄ£¬ËùÒÔÓ¦ÓÐ

¡¡¡¡   £¬

¼´¡¡¡¡ £¬¼´£¬

ËùÒÔ   Qa£½magh£¬¡¡¡¡ Qb£½magh£®


Á·Ï°²áϵÁдð°¸
Ïà¹ØÌâÄ¿

Î¥·¨ºÍ²»Á¼ÐÅÏ¢¾Ù±¨µç»°£º027-86699610 ¾Ù±¨ÓÊÏ䣺58377363@163.com

¾«Ó¢¼Ò½ÌÍø