题目内容
质量为2kg的物体,从离地面16m高处由静止开始下落,经2s落到地面,在下落过程中物体所受的阻力大小为________.(g取
)
答案:4N
解析:
解析:
|
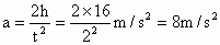
由 ∴ f=mg-ma=4N. |
练习册系列答案
相关题目
质量为2kg的物体自由下落,g取10m/s2则第2s内重力的平均功率是( )
| A、400w | B、300w | C、200w | D、100w |