题目内容
一辆货车在平直的高速公路的一条车道上以72km/h的速度匀速行驶,某时刻一辆轿车从高速公路的入口处以54km/h的速度进入高速公路的另一条车道,此时货车在轿车的前方200m处.若该路段的最高限速为108km/h,轿车以2m/s2的加速度追赶货车,问:(1)轿车在加速期间能否追上货车?
(2)轿车追上货车需多长时间?
【答案】分析:(1)求出轿车速度达到30m/s时的时间,求出这段时间内两车的位移,看位移差与200m的大小,从而判断出在加速时间内能否追上货车.
(2)轿车追上货车,经过了先加速后匀速的过程,通过位移关系,根据运动学公式求出追及的时间.
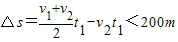
解答:解:(1)设轿车从15m/s加速到30m/s的时间为t1
则
.
在t1时间内两车距离的该变量为:
.
知加速时间内不能追上.
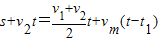
(2)设追上用时为t.
则
解得t=25.6s.
答:(1)轿车在加速期间不能追上货车.
(2)轿车追上货车需25.6s.
点评:本题属于运动学中的追及问题,关键理清轿车的运动情况,根据匀变速直线运动的公式进行求解.
(2)轿车追上货车,经过了先加速后匀速的过程,通过位移关系,根据运动学公式求出追及的时间.
解答:解:(1)设轿车从15m/s加速到30m/s的时间为t1
则
在t1时间内两车距离的该变量为:
知加速时间内不能追上.
(2)设追上用时为t.
则
解得t=25.6s.
答:(1)轿车在加速期间不能追上货车.
(2)轿车追上货车需25.6s.
点评:本题属于运动学中的追及问题,关键理清轿车的运动情况,根据匀变速直线运动的公式进行求解.
练习册系列答案
相关题目