题目内容
如图所示,光滑水平面上A、B两小球沿同一方向运动,A球的动量pA=4kg?m/s,B球的质量mB=1kg,速度vB=6m/s,已知两球相碰后,A球的动量减为原来的一半,方向与原方向一致.求(1)碰撞后B球的速度大小;
(2)A球的质量范围.
【答案】分析:A球能追上B球并与之碰撞根据动量守恒定律列出等式,根据碰撞后A球不可能运动到B球前方和碰撞过程系统能量不可能增加求解.
解答:解析:(1)由题意,p'A=2kg?m/s,根据动量守恒定律有:pA+mBvB=p'A+mBv'B,解得v'B=8.0m/s.
(2)设A球质量为mA,A球能追上B球并与之碰撞,应满足vA=
>vB;碰撞后A球不可能运动到B球前方,故
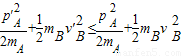
;碰撞过程系统能量不可能增加,故
解得:
(或0.25kg≤mA≤0.43kg)
答:(1)碰撞后B球的速度大小为8.0m/s;
(2)A球的质量范围0.25kg≤mA≤0.43kg.
点评:理解动量和能量守恒在原子物理中的应用,求范围的问题难度稍微较大.
解答:解析:(1)由题意,p'A=2kg?m/s,根据动量守恒定律有:pA+mBvB=p'A+mBv'B,解得v'B=8.0m/s.
(2)设A球质量为mA,A球能追上B球并与之碰撞,应满足vA=
解得:
答:(1)碰撞后B球的速度大小为8.0m/s;
(2)A球的质量范围0.25kg≤mA≤0.43kg.
点评:理解动量和能量守恒在原子物理中的应用,求范围的问题难度稍微较大.
练习册系列答案
相关题目